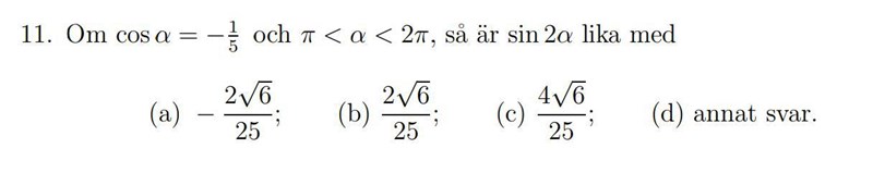
Bestäm sin(2x)

Hej, tänkte först:
Kan "gissa" att rätt svar ska vara C eftersom cos(x) ligget i 3 kvadranten och är nära noll, vilket betyder att sin(x) ska vara nära -1.
Men hur ska man bestämma det exakta värdet på sin(x)?
Använd trigonometriska ettan
och som du redan räknat ut är
Kallaskull skrev:Använd trigonometriska ettan
och som du redan räknat ut är
Tack för hjälpen
oooj såg inte att de skulle vara i fjärde kvadranten random.
Om du ritar enhetscirkeln och där ritar in vinkeln alfa, som blir nära 3 pi. Då ser du kanske en rätvinklig triangel med hypotenusan 1 och den korta kateten =1/5 (x-koordinaten, dvs cos) Då kan du beräkna den andra kateten och få fram ett värde på sin (y-koordinaten). Slutligen använder du formeln för dubbla vinkeln
Jag vill bara påpeka att vinkeln måste ligga i tredje kvadranten eftersom , vilket bara (bortsett från multipliciteten) sker i intervallet .