Bestäm skärningslinjen mellan planet och planet på parameterform
Hej!
Jag undrar hur man ska börja här?

Om du skriver om det andra planets ekvation till normalform (tror jag att det heter, samma form som första planet) så är det kvar att lösa ett ekvationssystem (2 ekvationer, 3 variabler).
Ett alternativ som använder parameterformen vi fått, är att sätta in parameterforms-värdena på x, y och z i normalformsplanet. Då kan du lösa ut en av variablerna (s eller t), vilket medför att det ursprungliga planet på parameterform reduceras ned till en linje (skärningen). :)
Smutstvätts förslag är enklare.
Båda sätt är bra att ha i sin verktygslåda, särskilt om man är lite osäker på den ena. Då är det bra att kunna dubbelkolla med den andra. :)
Smutstvätt skrev:Ett alternativ som använder parameterformen vi fått, är att sätta in parameterforms-värdena på x, y och z i normalformsplanet. Då kan du lösa ut en av variablerna (s eller t), vilket medför att det ursprungliga planet på parameterform reduceras ned till en linje (skärningen). :)
Yes jag testar och återkommer :)
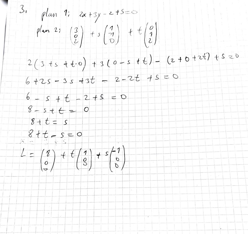
Detta är vad jag fått nedan. Är det rätt?

Ekvationen på slutet borde bli , men annars ser det rätt ut. Däremot kan du inte sedan gå direkt till L som du gjort - där har L två oberoende variabler, medan vår ekvation bara har en.
Vägen framåt är att lösa ut s eller t från ekvationen, och sedan sätta in detta uttryck i linjen på parameterform. Då kvarstår endast en oberoende variabel, vilket är skärningslinjen vi söker. :)
Smutstvätt skrev:Ekvationen på slutet borde bli , men annars ser det rätt ut. Däremot kan du inte sedan gå direkt till L som du gjort - där har L två oberoende variabler, medan vår ekvation bara har en.
Vägen framåt är att lösa ut s eller t från ekvationen, och sedan sätta in detta uttryck i linjen på parameterform. Då kvarstår endast en oberoende variabel, vilket är skärningslinjen vi söker. :)
-1.jpg?width=800&upscale=false)
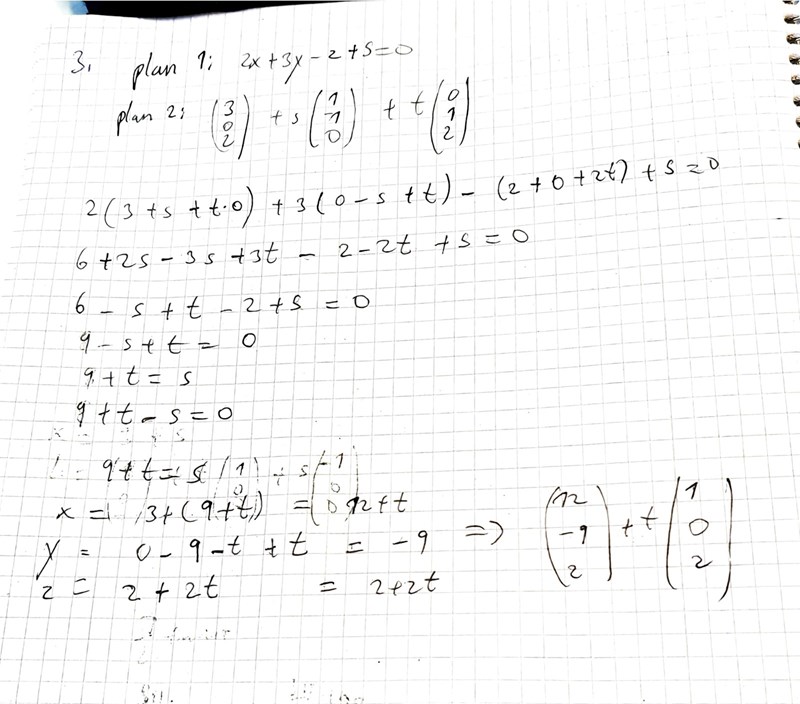
Det ser bra ut! Ett sätt att kontrollera om svaret stämmer är att rita upp planen och linjen i geogebra, och se om det stämmer. Ett annat är att sätta in några punkter från linjen i de två planen, och se om det stämmer. :)
Smutstvätt skrev:Det ser bra ut! Ett sätt att kontrollera om svaret stämmer är att rita upp planen och linjen i geogebra, och se om det stämmer. Ett annat är att sätta in några punkter från linjen i de två planen, och se om det stämmer. :)
Yes! Ska testa absolut!