2
svar
80
visningar
Freedom behöver inte mer hjälp
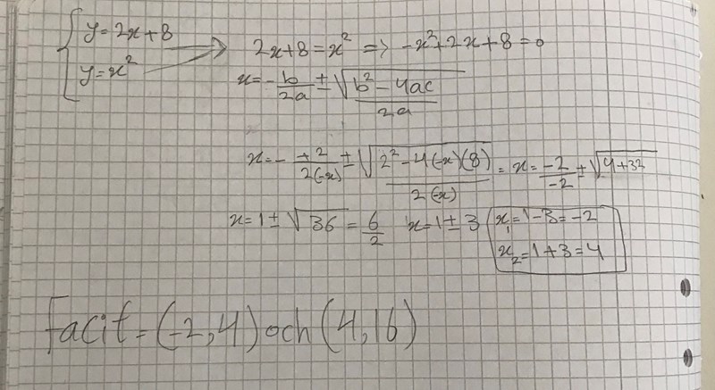
Bestäm skärningspunkterna!!
Hej!
Jag har gjort uppgiften men inte helt, jag har hitta punkten (-2,4) men hur kan jag hitta (4,16) också som står i facit?
Tack för hjälpen och förklara.
mitt svar:

Ena punkten:
Andra punkten:
För att förtydliga - du har hittat x-värdena för skärningspunkterna.
För att få motsvarande y-värden så sätter du in värdet på x i någon funktion - vilken som helst