10
svar
111
visningar
Bayan Ali behöver inte mer hjälp
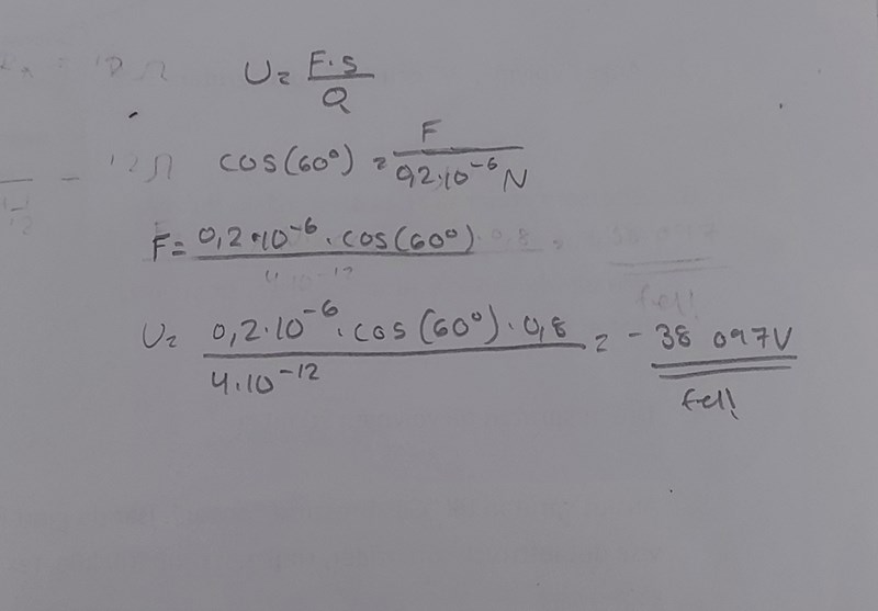
bestäm spänningen

får 40 000V men det är fel
Kommer inte vinkeln 60 grader till användning?
nej, jag har inte använt den. Hur tycker du jag ska göra det?
Kraftpilen anger riktningen för fältet. Hur hade det blivit om Q rörde sig vinkelrätt mot fältet?
Jag förstår inte riktigt vad du menar
Vinkelrätt betyder att vinkeln hade varit 90 grader och inte 60.
Får detta, men det är också fel 
Hade du räknaren inställd på grader? Vad blev cos(60)?
cos(60) blir -0,9524.....
Bayan Ali skrev:cos(60) blir -0,9524.....
Ställ in din räknare på grader!