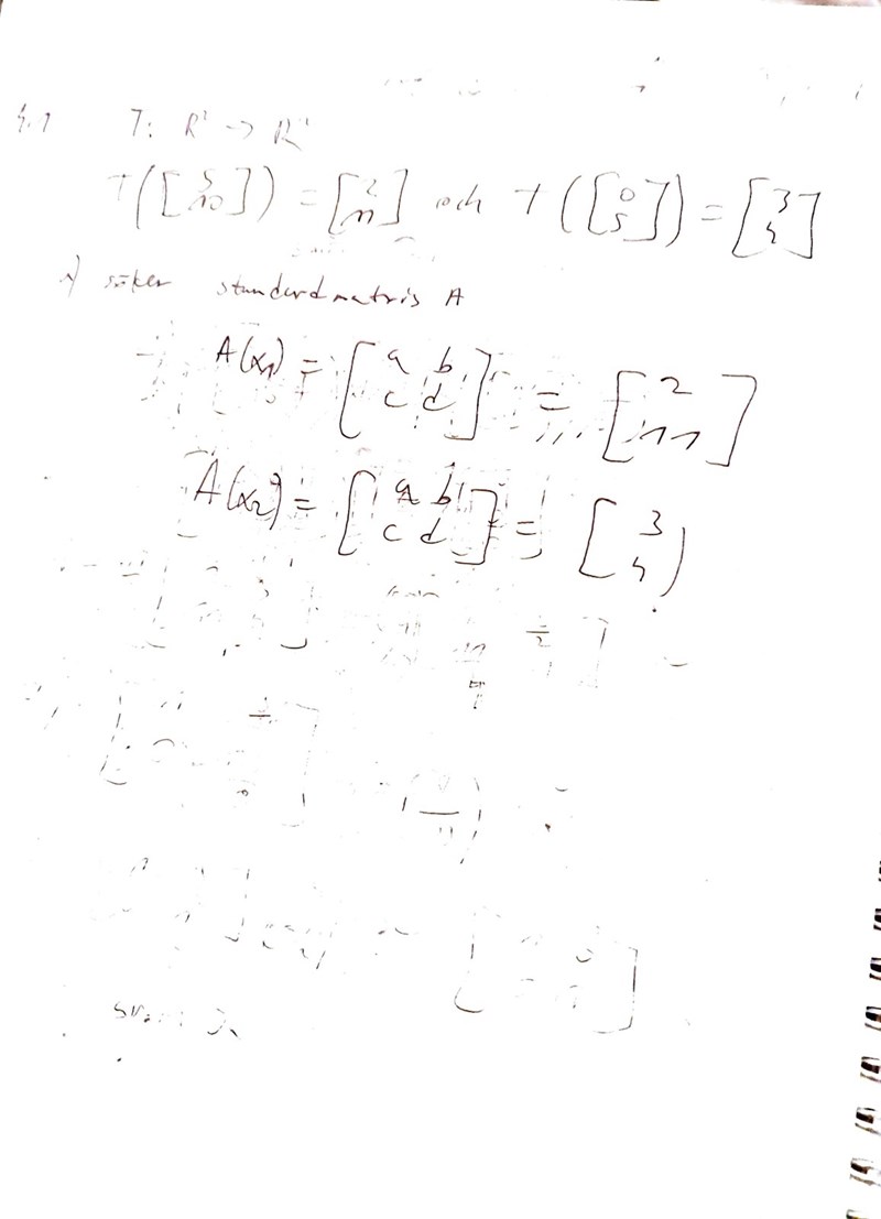
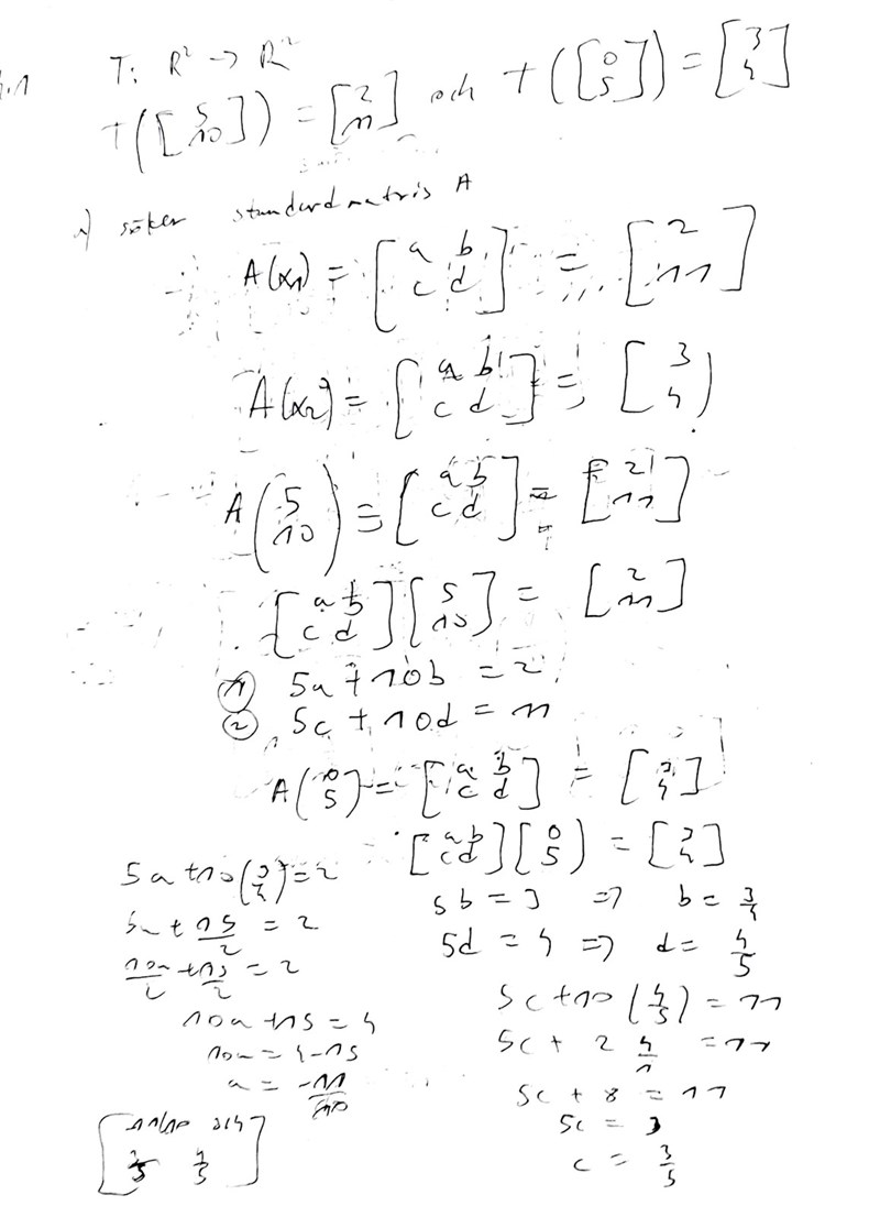
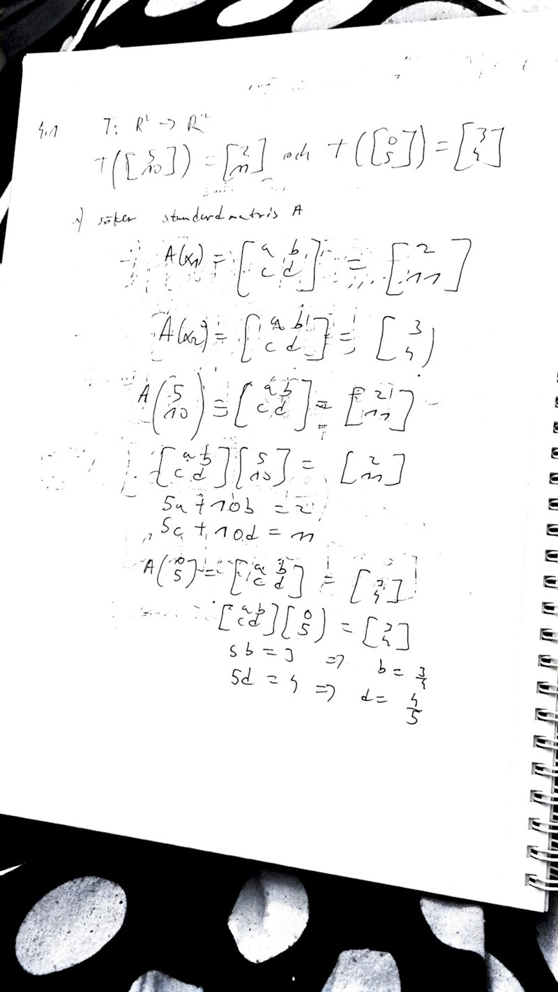
Bestäm standardmatris A till avbildningen T
Hej!
Jag fastnade på den här uppgiften och löste den såhär. Men är osäker 

Lite svårt att läsa.
Ansätt A som 2x2 matris
a b
c d
Beräkna sen Ax för båda x:en och sätt detta lika med resp y-värde.
4 obekanta & 4 ekvationer -> i bästa lösbart.
Analys skrev:Lite svårt att läsa.
Ansätt A som 2x2 matrisa b
c d
Beräkna sen Ax för båda x:en och sätt detta lika med resp y-värde.
4 obekanta & 4 ekvationer -> i bästa lösbart.
Menar du så?
Nästan! Lägg till resp x-kolumn efter a-matrisen så att du kan multiplicera.
Analys skrev:Nästan! Lägg till resp x-kolumn efter a-matrisen så att du kan multiplicera.
Så?Dock vet jag ej om b och d svaret i andra ekvationen som jag fick ut kan användas för att räkna ut exempelvis a och c i ekvationerna : 5a+10b=2 och 5c+10d=11 ?
-1.jpg?width=800&upscale=false)
Du kan! Du har fått 4 ekvationer och fyra obekanta. Om du hittar EN lösning så har du hittat alla lösningar.
Analys skrev:Du kan! Du har fått 4 ekvationer och fyra obekanta. Om du hittar EN lösning så har du hittat alla lösningar.
Jag har nu hittat lösningar på a och c. 
Om a=-4/5 så har du räknat rätt, lite svårt att se för mig.
testa sen att invertera A!
Analys skrev:Om a=-4/5 så har du räknat rätt, lite svårt att se för mig.
testa sen att invertera A!
Yes jag fick nu denna matris
A =[ -4/5, 3/5
3/5 4/5]
Vi vet att identitets matrisen för 2x2 matris är (1 0 0 1 ) och om vi gauseliminerar vår matris A så att vi får identitetsmatrisen så innebär det A är sin egen invers.
Haha, ett tag sen jag läste linalg….