3
svar
302
visningar
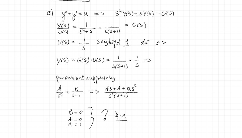
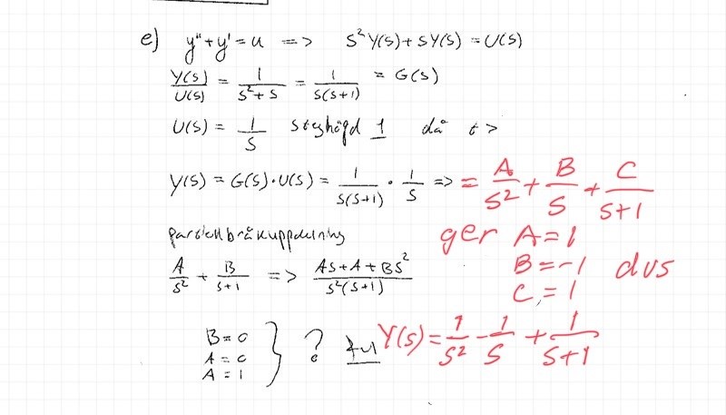
Bestäm stegsvar
Jag har varit fast på denna deluppgift ett tag nu, ska beräkna stegsvaret genom att först beräkna överförningafunktionen och så vidare, diff. Ekv. Är y(2) + y(1) = u.
Lyckas inte lösa den på något bra sätt, har försökt med massor olika bråkuppdelningar 
Vad gör jag för fel
Hur kom du fram till att det ska vara dom bråken? Det är rätt svar men nämnaren blir ju s3(s+1) så jag förstår inte riktigt hur detta är vägen till lösningen, säkert något jag missar.
Ja, du missar att nämnaren blir s2(s+1). Inte s3(s+1).
