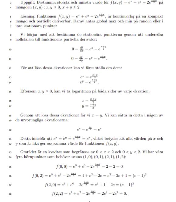
Bestäm största och minsta värdet för funktionen:
f(x,y)= ex+ey-2e(x+y)/2, på mängden {(x,y): x,y ≥ 0, x+y ≤ 2}.
Såsom jag har förstått det så menas det att man har en kvadrat,
då 0≤x≤ 2 och 0≤y≤ 2.
Jag börjar med att undersöka stationära punkter genom att studera nollställen för funktionens partiella derivatorna som jag får till:
0 = df/dx = ex-e(x+y)/2
0 = df/dy = ey-e(x+y)/2
Såhär långt har jag kommit. Är det något jag har missat?

Det stämmer inte när du sätter in x=y i funktionen.
henrikus skrev:Det stämmer inte när du sätter in x=y i funktionen.
Vad blir nästa steg isåfall, efter att jag har hittat partiella derivatorna för funktionen?
Jag antar att man ska använda differentialkalkyl för detta. Sätt in x=y i funktionen.
Sen måste randen undersökas. Minimera och maximera funktionen när x=0 och 0<=y<=2 osv.
Annars kan man inse att funktionen kan skrivas