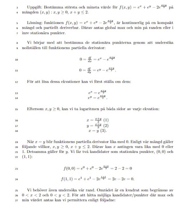
Bestäm största och minsta värdet för funktionen:
Jag har en seminarieinlämning. Skulle någon kunna verifiera min lösning på denna uppgift?


Det finns inga begränsningar på att x och y är heltal. Därmed kan både x och y anta värdena på linjen y=x från x=0 till x=1 (Dessa begränsningar på x kommer även uppfylla begränsningarna på y).
Du måste således undersöka funktionsvärdet på hela denna linje. Det kan du göra genom att beräkna f(x,x).
Dessutom kan du skriva att funktionen är differentierbar i början, då detta betyder deriverbar i samtliga dimensioner.
Tillägg: 4 jun 2023 14:48
Såg även att du gör fel när du bestämmer området för beräkningen av funktionsvärdet på randen. Området är ingen kvadrat där 0<x,y<2 som du skriver. Exempelvis kommer inte x=y=2 vara inom området eftersom 2+2=4 > 2. Området kommer istället vara en triangel som begränsas av x>0, y>0 och x+y=2 (y=2-x).