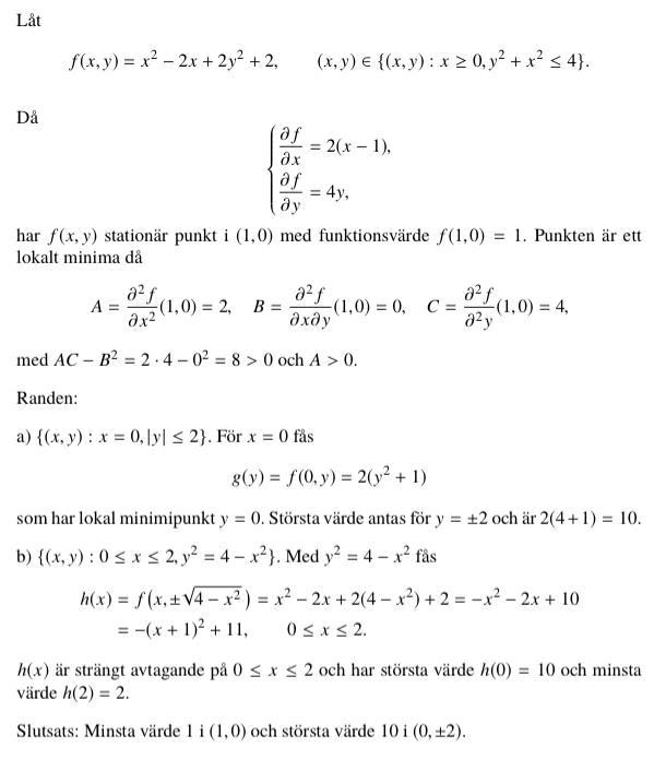
Bestäm största och minsta värdet till f(x,y)=x^2-2x+2y^2+2, randen
Bestäm största och minsta värdet till f(x,y)=x^2-2x+2y^2+2 på området (x,y): x>=0, x^2+y^2<=4.
Har problem med denna uppgift i avseendet att undersöka randen.
extrempunkter kan antas i 3 olika typer.
1. Randpunkter till mängden
2. Punkter inuti området där funktionen inte är partiellt deriverbar.
3. Punkter inuti området där de partiella derivatorna är noll.
punkt 2 och 3 har jag klarat av men att undersöka randen har jag svårt för att förstå. nedan följer mitt tillvägagångssätt hittils:
Eftersom randpunkten är enhetscirkeln så kan vi parametrisera den genom att sätta x=cos(t)och y=sin(t), vi inför funktionen
h(t)=f(cos(t),sin(t) )=cos(t)^2-2 cos(t)+2 sin(t)+2=-2 cos(t)+sin(t)^2+3.
Funktionen f(x,y) varierar utefter variabeln t och antar sina extremvärden i samma värden som
funktionen hade gjort. Vi kan nu enklare alltså undersöka funktionen h(t)i en variabel, vi deriverar
h(t) för att undersöka när derivatan är lika med noll. Av beräkning följer,
h^' (t)=2 sin(t)∙(cos(t)+1)=0 då t=π eller 2π.
Vi beräknar funktionens värde i π och 2π,
h(π)=-2 cos(π)+sin(π)^2+3=5.
h(2π)=-2 cos(2π)+sin(2π)^2+3=1.
Däremot så är cos(π)=-1 vilket inte ligger inom vårt område för funktionen, vårt enda värde för randen är i punkten (cos(2π),sin(2π))=(1,0) där värdet för funktionen är lika med 1.
Har jag tänkt rätt? tacksam för svar..
Välkommen till Pluggakuten!
Har du ritat upp områder? Det är svårt att se om du har gjort rätt när du byter variabler utan att ha en bild att titta på. Rita upp området och lägg upp en bild här.
Hej här kommer min bild på vad som är randen för en halvcirkel, där är x axeln cos (t) och y är sin (t)

trippelA skrev:
Hej här kommer min bild på vad som är randen för en halvcirkel, där är x axeln cos (t) och y är sin (t)
Vilken är radien för halvcirkeln på bilden? Vilken är radien för halvcirkeln i din uppgift?
Hej tackar för all hjälp, jag har kommit fram till samma slutsats om min och max för funktionen fast ska använda parametrisering i uppgiften, förmodar då att jag lär använda cos och sin.
Någon som kan se i mitt första inlägg om uppgiften med randen om det verkar rimligt?
på bilden är radien för halvcirkeln är 2, det får jag från området där x^2+y^2<=4 då lär radien vara 2 eftersom då x eller y är noll så blir maximala radien 2?
Ja, radien i din cirkel är 2.


