2
svar
66
visningar
Bestäm sträckan

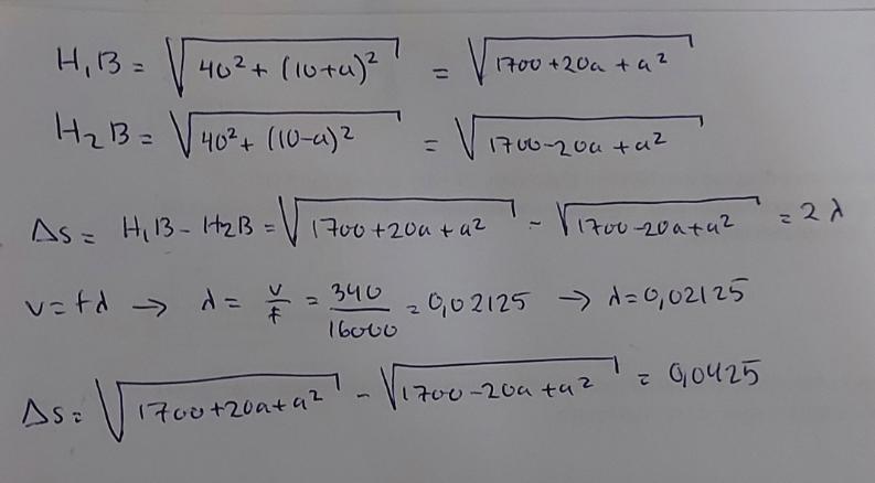
Min lösning hittils: 

Jag har testat på 2 olika sätt men kommer tillslut inte vidare
Oklar uträkning.
Det är helt oklart vilka enheter du använder.
Vilka längder är i meter och vilka enheter är i centimeter in din uträkning? Eller är det tum??
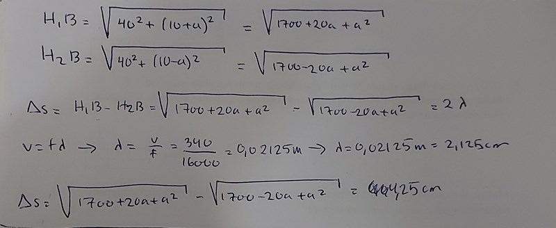
Oj, nu har fixat så det är cm på alla.
Mitt andra förslag är fel tänkt men är jag på rätt spår här?