Bestäm systemets lösningar
Hej!
Jag vet inte riktigt hur jag ska börja med följande uppgift:
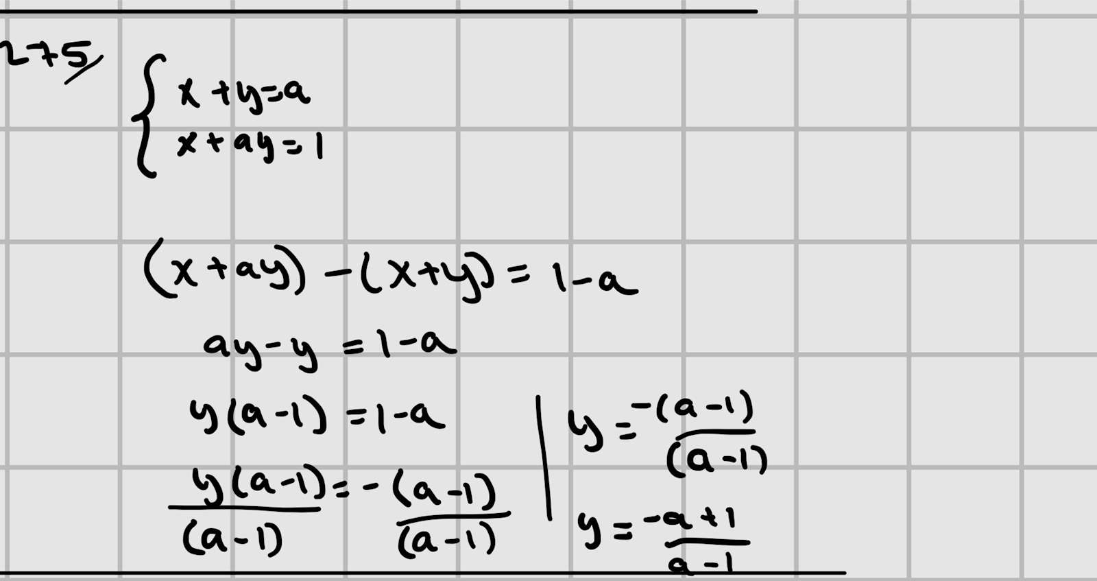
a är ett reellt tal. Bestäm ekvationssystemets lösningar:
Jag har testat mig fram lite, bland annat genom att kasta om uttrycket i första ekvationen så man får ett värde på y och sedan fört in det i den andra ekvationen, men jag kommer inte riktigt någon vart. Är det kanske tänkt att svaren ska ha variabeln a i sig? alltså att a är med i svaret?
Tacksam för all hjälp :)
a ska vara med i ditt svar ja. Beroende på värde på a borde du kunna få olika typer av lösningar.
Tillägg: 25 jan 2026 19:16
https://www.desmos.com/calculator?lang=sv-SE
tack för ditt svar! Det enda jag kan komma fram till är att a inte kan vara lika med 1 för då skulle det för y bli division med noll. Utöver det borde ju a kunna vara vad som helst men det var inte riktigt frågan. Om a är mindre än 1 så skulle bråket väl bli positivt då täljaren redan är negativ, det betyder att y skulle vara positivt vilket skulle ge ett negativt x om man kastar om den första ekvationen så vi får x=a-y då y är positivt men a är negativt. Om a skulle vara större än 1 skulle y bli negativt och då kan x vara alla reella tal.
Är väldigt osäker på om detta är rätt men det är bara en liten gissning utifrån min förenkling av uttrycket nedan:

Jo, a kan visst vara lika med 1.
Då blir båda ekvationerna x+y = 1
Detta ekvationssystem har då oändligt många lösningar.
===
Jag föreslår att du skriver om ekvationerna på formen y = kx+m.
Det blir då tydligt att de båda ekvationerna kan representeras av två räta linjer.
Ekvationssystemets lösningar återfinns i dessa linjens gemensamma punkter.
För fallet a = 1 så ser vi att båda ekvationerna kan skrivas y = -x+1. Det är alltså två linjer som sammanfaller och de har alltså oändligt många gemensamma punkter.
Det finns två andra möjöigheter:
- Linjerna skär varandea i en enda punkt. Ekvationssystemet har då en enda lösning.
- Linjerna skär inte varandra alls, de är parallella. Ekvationssystemet saknar då lösningar.
Fundera på detta och vad som då måste gälla för linjernas k-värden och m-värden.
Och hur det påverkar värdet på a.