3 svar
151 visningar
Julialarsson321 1469
Postad: 30 maj 2023 18:21

Bestäm talen

Vad gör jag för fel här? Får c= -1, a= 1 och b=0

Dani163 1035
Postad: 30 maj 2023 18:28

 

Vi har den generella formeln för en kvadratisk ekvation:

y=ax2+bx+cy = ax^2 + bx + c

För att bestämma värdena på $a$, $b$ och $c$ använder vi informationen från de tre givna punkterna.

1. Punkt: $(-1, 2)$:
Vi sätter in värdet $x = -1$ och $y = 2$ i ekvationen:

2=a(-1)2+b(-1)+c2 = a(-1)^2 + b(-1) + c

Det ger oss ekvationen: $a - b + c = 2$.

2. Punkt: $(2, 5)$:
Vi sätter in värdet $x = 2$ och $y = 5$ i ekvationen:

5=a(2)2+b(2)+c5 = a(2)^2 + b(2) + c

Det ger oss ekvationen: $4a + 2b + c = 5$.

3. Punkt: $(1, -2)$:
Vi sätter in värdet $x = 1$ och $y = -2$ i ekvationen:

-2=a(1)2+b(1)+c-2 = a(1)^2 + b(1) + c

Det ger oss ekvationen: $a + b + c = -2$.

Nu har vi tre ekvationer:

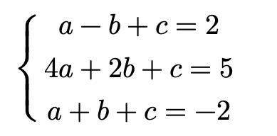
Invalid Latex\begin{align}<br />a - b + c &= 2 \\<br />4a + 2b + c &= 5 \\<br />a + b + c &= -2<br />\end{align}

Vi kan lösa detta ekvationssystem för att hitta värdena på $a$, $b$ och $c$.

Svaret kommer ge oss vad variablerna motsvarar och ge oss lösningen för att kurvan y=ax2+bx+cy = ax^2 + bx + c går genom punkterna $(-1,2)$, $(2,5)$ och $(1,-2)$.

Julialarsson321 1469
Postad: 30 maj 2023 18:38

Jag förstår inte vad $ betyder? Och hur får jag fram a b och c?

Dani163 1035
Postad: 30 maj 2023 21:57 Redigerad: 30 maj 2023 21:59

Ursäkta, LaTeX verkade inte formatera ordentligt. Bortse ifrån $ tecknet.

Vi har den generella formeln för en andragradsekvation:

y=ax2+bx+cy = ax^2 + bx + c

För att bestämma värdena på aa, bb och cc använder vi informationen från de tre givna punkterna.

1. Punkt: (-1,2)(-1, 2):

Vi sätter in värdet x=-1x = -1 och y=2y = 2 i ekvationen:2=a(-1)2+b(-1)+c2 = a(-1)^2 + b(-1) + c

Det ger oss ekvationen: a-b+c=2a - b + c = 2.

2. Punkt: (2,5)(2, 5):

Vi sätter in värdet x=2x = 2 och y=5y = 5 i ekvationen:

5=a(2)2+b(2)+c5 = a(2)^2 + b(2) + c

Det ger oss ekvationen: 4a+2b+c=54a + 2b + c = 5.

3. Punkt: (1,-2)(1, -2):

Vi sätter in värdet x=1x = 1 och y=-2y = -2 i ekvationen: -2=a(1)2+b(1)+c-2 = a(1)^2 + b(1) + c

Det ger oss ekvationen: a+b+c=-2a + b + c = -2.

Nu har vi tre ekvationer i ekvationssystemet:

Vi kan lösa detta ekvationssystem för att hitta värdena på aa, bb och cc.

Svaret kommer ge oss vad variablerna motsvarar och ge oss lösningen för att kurvan y=ax2+bx+cy = ax^2 + bx + c går genom punkterna (-1,2)(-1,2), (2,5)(2,5) och (1,-2)(1,-2).

Svaret blir:

Visa spoiler

a = 3, b = -2, c = -3.

Svara
Close