2
svar
90
visningar
Bestäm talet
Frågan:

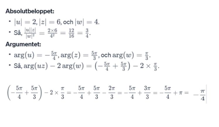
Har jag löst frågorna rätt eller inte?


Allt ser rätt ut.
På b-uppgiften kan det tänkas att de vill att man svarar
Tack!