5
svar
89
visningar
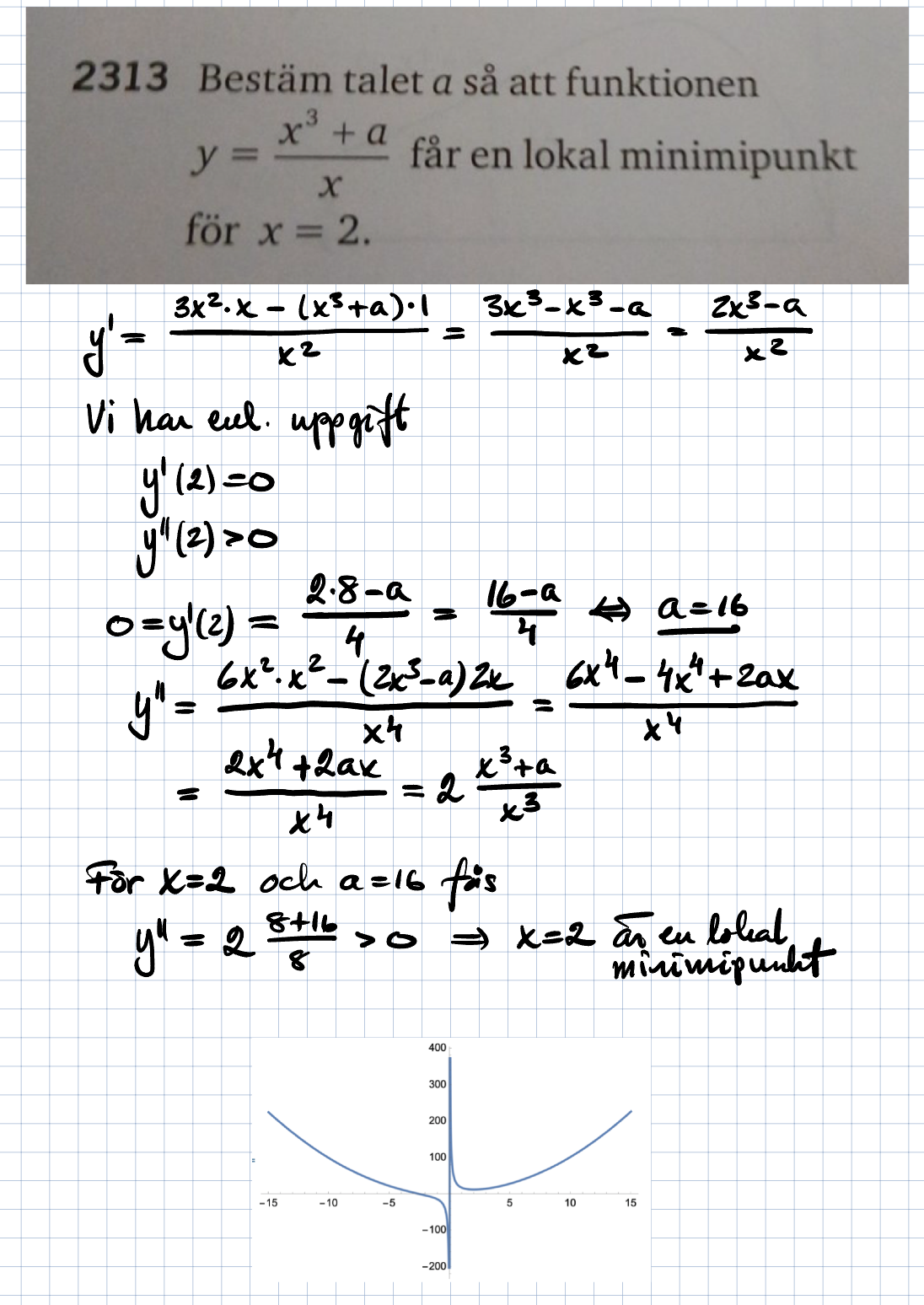
Bestäm talet a

Så här har jag tänkt
För att ta mig vidare ska sätta y:s derivata lika med noll och på så sätt lösa ut a ?
Det stämmer 

