Vilka värden på k har parallella linjer? Vilka värden har vinkelräta linjer? Vad är k för respektive ?
Om det är parallell, måste k värde vara samma på båda.
Om det är vinkel rät, måste
k1 * K2 = -1
1/2* 3x/b
Bra! Vad måste b vara för att ? Vad måste b vara för att ?
När det gäller parallella linjer, måste de ha samma riktnings koeffient.
När det gäller vinkel räta, multiplicerar man de ihop och då måste produkten bli -1 on de ska vara vinkelräta.
Du har tappat bort variabeln x i nästan hela högerspalten.
Nu fins den där, men jag kan inte förstå, hur kan de här bli parallella.?
Du skrev själv:
Om det är parallell, måste k värde vara samma på båda.
Hej Päivi.
Du har två linjer med följande ekvationer:
- Ekvation 1:
- Ekvation 2:
Vi skriver om båda på formen :
- Ekvation 1:
- Ekvation 2:
-------------
I ekvation 1 är k-värdet alltså
I ekvation 2 är k-värdet alltså
---------------
Du ska nu ta reda på vad b blir då
a) linjerna är parallella, dvs då . Detta ger dig en enkel ekvation för b.
b) linjerna är vinkelräta, dvs då . Detta ger dig en annan enkel ekvation för b.
Yngve hur får du k värdet bli 1/3 i första ekvationen? Det står ingenstans så Yngve!
Päivi skrev :Yngve hur får du k värdet bli 1/3 i första ekvationen? Det står ingenstans så Yngve!
Jag skrev fel. Jag har rättat nu.
Yngve!
Har du inte sett hur jag har räknat. Scrolla lite uppåt. Jag kan inte förstå, hur det kan bli parallell eller vinkel rät det här.
Det följer inte ens reglerna någon av dem.
Päivi skrev :Nu fins den där, men [...]
Nej, variabeln x saknas fortfarande på många ställen i högerspalten.
Päivi skrev :Yngve!
Har du inte sett hur jag har räknat. Scrolla lite uppåt. Jag kan inte förstå, hur det kan bli parallell eller vinkel rät det här.
Det följer inte ens reglerna någon av dem.
Jo jag har sett hur du har räknat.
Det är två olika linjer. Sträckningen för linje 1 är fast och sträckningen för linje 2 beror på vilket värde b har.
Linje 2 blir parallell med linje 1 då b har ett speciellt värde. Detta värde är är svaret på a)-uppgiften.
Linje 2 blir vinkelrät mot linje 1 då b har ett annat speciellt värde. Detta värde är är svaret på b)-uppgiften.
Rita gärna ut linje 1 i ett koordinatsystem så kanske det hela klarnar.
--------------
Jag förstår inte vad du menar med att "det inte följer reglerna". Vad är det som inte följer reglerna och vilka regler är det som inte följs?
Du slarvar Päivi.
Du har kommit fram till att och att .
Men när du ska sätta upp ekvationen så skriver du .
Ser du vad som är fel?

Uppgiften följs inte efter några regler.
Hej Päivi.
Detta liknar väldigt mycket det du tidigare kallade en "gissningstävlan", fast tvärtom.
Du presenterar en uträkning utan beskrivning av hur du har tänkt, utan beskrivning vad du har gjort, utan någon fråga.
Vi gissar vad du tycker är svårt och vad du vill ha hjälp med. Vi skriver ledtrådar för att hjälpa dig på vägen. Vi skriver i princip hela lösningen åt dig.
Du visar inte på något sätt att du har läst vad vi har skrivit. Du visar inte på något sätt att du har förstått vad vi har skrivit. Du frågar inte ens om vad vi har skrivit.
Du pesenterar en ny uträkning utan beskrivning av hur du har tänkt, utan beskrivning vad du har gjort, utan någon fråga.
Och så vidare.
-----------
Innan jag svarar på detta vill jag veta vad det är du räknar ut, vilka linjer du har ritat, vad du får för resultat och vad du vill att vi ska svara?
Jag ska beskriva tydligt vad jag gör.
Hej Päivi.
Det är bra att du börjar beskriva hur du tänker. Men du behöver inte beskriva hur du löser ut y ur en ekvation, för det är grundskolematte och det följer både vi och din lärare som rättar proven med på.
Det du behöver beskriva är att om linjerna ska vara parallella så måste det gälla att och hur du resonerar kring det.
Du har har skrivit flera fel i din uträkning, men nu vill jag fokusera på det viktiga, nämligen följande:
Om linjerna ska vara parallella så måste det gälla att . Du skriver att "det inte är lika". Men det beror ju på vilket värde b har, eller hur?
Som jag har skrivit tidigare så ska du hitta det värde på b för vilket likheten verkligen gäller. Detta ger en ekvation som, om du löser den, ger dig ett värde på b för vilket linjerna blir parallella.
------------
Nu vill jag att du svarar med ord och inte med uträkningar: Förstår du det jag har skrivit? Om du inte förstår, vilka delar är det då som du inte förstår?
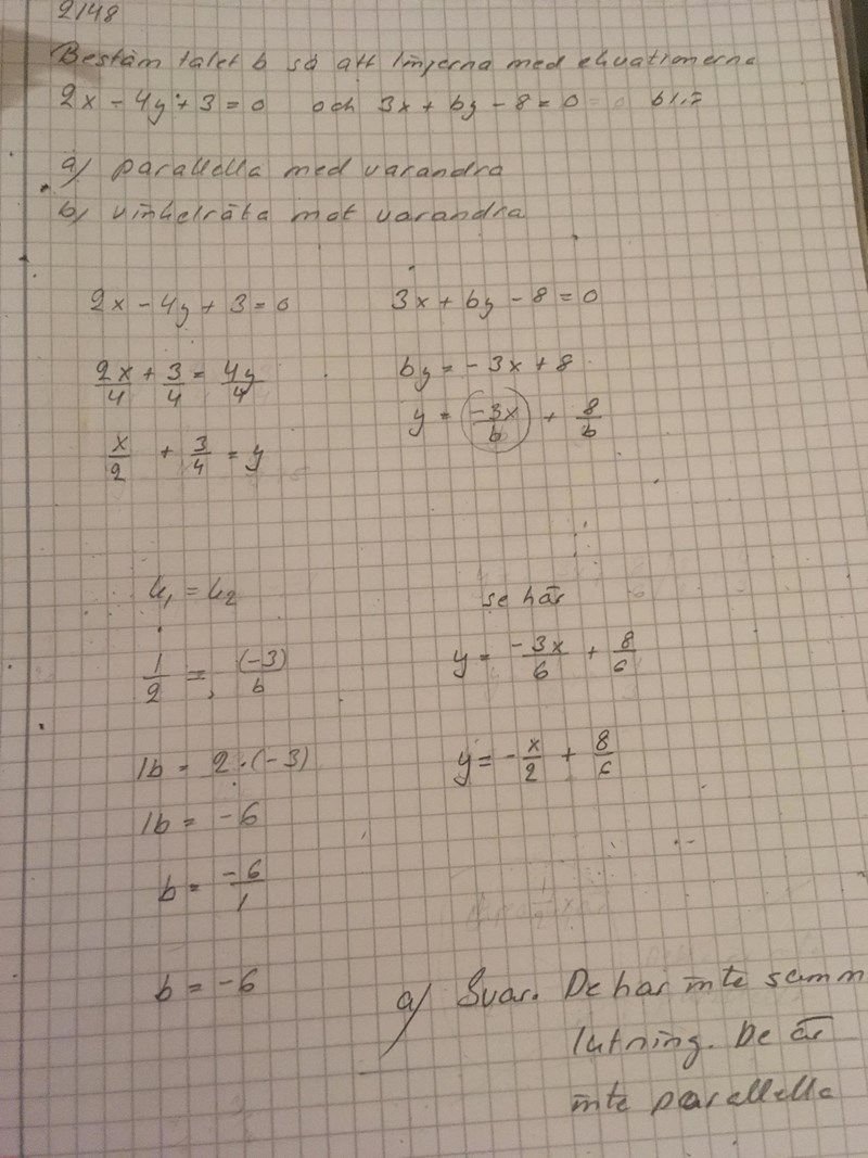
B har -6 som värde, men det stämmer inte. De är inte parallella för det det. Därför skrev jag att de är inte lika. Det blir inga parallella linjer. Hur kan du få det bli parallellt undrar jag?
Matte 1 och 2 är fortfarande grundkole matte. Matte 3 kan man börja kalla mera som gymnasie matte.
Päivi skrev :B har -6 som värde, men det stämmer inte. De är inte parallella för det det. Därför skrev jag att de är inte lika. Det blir inga parallella linjer. Hur kan du få det bli parallellt undrar jag?
Matte 1 och 2 är fortfarande grundkole matte. Matte 3 kan man börja kalla mera som gymnasie matte.
Hur kan du inte få det undrar jag?
Om , vad blir då ?
Med b = -6 blir linjerna som sagt parallella. Illustration nedan:

Yngve skrev :Päivi skrev :B har -6 som värde, men det stämmer inte. De är inte parallella för det det. Därför skrev jag att de är inte lika. Det blir inga parallella linjer. Hur kan du få det bli parallellt undrar jag?
Matte 1 och 2 är fortfarande grundkole matte. Matte 3 kan man börja kalla mera som gymnasie matte.
Hur kan du inte få det undrar jag?
Om , vad blir då ?
K2= -1/2
Päivi skrev :K2= -1/2
Du slarvar Päivi.
Du har ju själv skrivit att .
Så om så blir .
Eftersom även så är då alltså och linjerna därmed parallella.
Kan du nu göra b)-uppgiften på.liknande sätt?
Error
Ja nu ser det bättre ut Päivi.
Du har missat att skriva ut x på ett ställe och svaren ska inte vara b = -6 respektive b = 1,5 (inte bara "v.s.v" som betyder "vilket skulle visas").
Det ska vara b=-6x, b=1,5x
Är det så du menar, Yngve?
Päivi skrev :Det ska vara b=-6x, b=1,5x
Är det så du menar, Yngve?
Nej det menar jag inte. Jag menar här:

Jag har rättat det, Yngve! Tack att du påpekade detta för mig.
Hur ska jag gå vidare här?








