2
svar
124
visningar
patricia123 behöver inte mer hjälp
flervariabelanalys, tangent
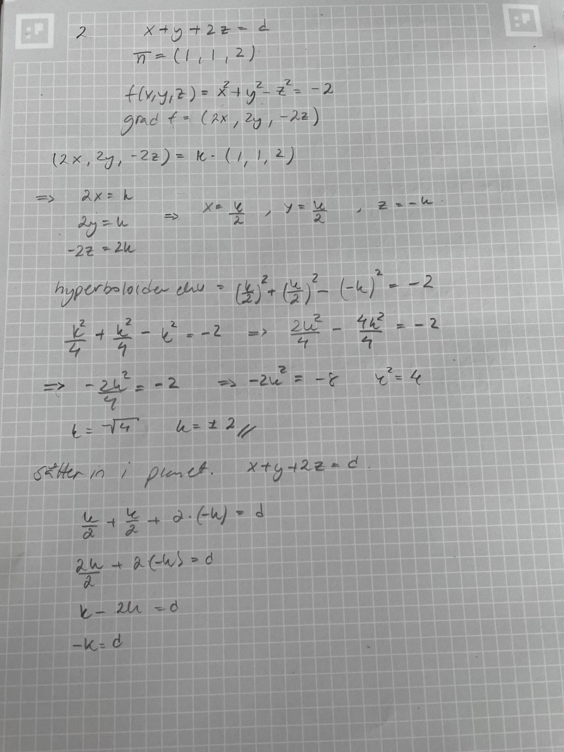
Bestäm talet d så att planet x+y+2z=d tangerar hyperboloiden x2+y2-z2=-2
Här är min lösning, får att k=+- 2 och att -k=d, kan man dra slutsatsen att d=+-2?
.jpg?width=800&upscale=false)
någon?
Ser bra ut tycker jag.