1
svar
86
visningar
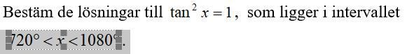
Bestäm tan^2v = 1
Hej!

Som vi direkt kan se, kommer vi att få två olika värden för tanv, "plusminus" tanv.
Jag tittade direkt på min formesamling och såg att (pi) / 4 = 1 och 3(pi) / 4, dvs. 45 grader respektive 135 grader. Men rätt svar är 45 grader och -45 grader. Varför är detta korrekt?