5
svar
195
visningar
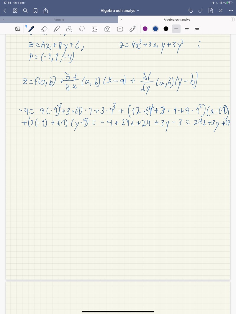
Bestäm tangent till plan


På bilden under är min lösning, det blir fel. Vad kan jag ha gjort fel?
Partiella derivatan av 3y3 med avseende på x är 0.
Laguna skrev:Partiella derivatan av 3y3 med avseende på x är 0.
Tack, men det blir fortfarande fel :(
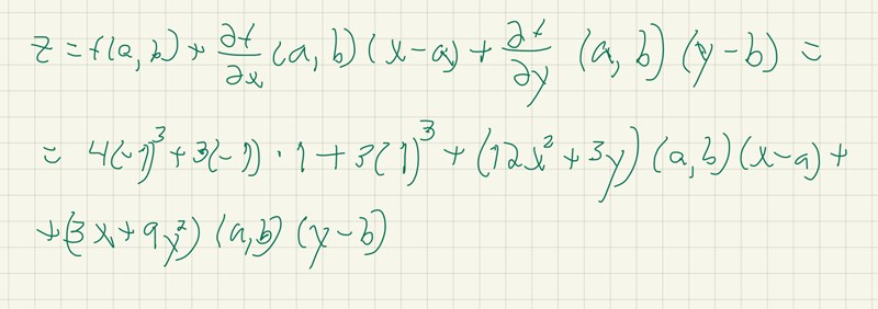
Du har kommit fram till rätt taylorutveckling, men sen verkar blanda ihop x,y,z med punkten (a,b)


Förstår inte vad jag ska göra med (a,b)(y-b) och (a,b)(x-a)?
Den funktion du taylorutvecklar i punkten är
Den första partiella derivatan i punkten är alltså
Därmed är termen
Kan du på samma sätt klura ut termen ?