Bestäm Tangenten till kurvan

Skulle man kunna använda kedje regeln här ?
Ja, det kan du göra.
Eller använda deriveringsreglerna direkt:
- D(sin(ax)) = a*cos(ax)
- D(cos(ax)) = -a*sin(ax)
Yngve skrev:Ja, det kan du göra.
Eller använda deriveringsreglerna direkt:
- D(sin(ax)) = a*cos(ax)
- D(cos(ax)) = -a*sin(ax)
Aha ok, jag visste inte att man kunde derivera trig funktioner så där
Arup skrev:
Aha ok, jag visste inte att man kunde derivera trig funktioner så där
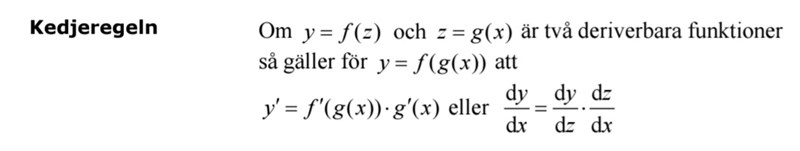
Det är ett specialfall av kedjeregeln

där y = f(z) = sin(z) och z = g(x) = ax är en linjär funktion.
Vad gjorde jag för fel här ?

Du har att y(x) = 3sin(2x) - cos(2x).
Då är y'(x) = 3*2*cos(2x)-(-2*sin(2x)) = 6cos(2x)+2sin(x)
Fortsätt därifrån och beskriv gärna vad det är du räknar ut.
Tillägg: 15 nov 2025 12:34
Jag ser nu att jag skrev fel på sista uttrycket, det ska vara 6cos(2x)+2sin(2x)
Yngve skrev:Du har att y(x) = 3sin(2x) - cos(2x).
Då är y'(x) = 3*2*cos(2x)-(-2*sin(2x)) = 6cos(2x)+2sin(x)
Fortsätt därifrån och beskriv gärna vad det är du räknar ut.
jo, jag kan ju stoppa in det givna x-värdet dvs
Tillägg: 15 nov 2025 10:01
På rad 2 har du använt kedje-regeln för funktionen
för enkelhetens skull definerar jag det som två funktioner dvs
Efteråt tillämpar jag kedje regeln utifrån formel bladet som du nämde i inlägg #5.
Hädanefter stoppar jag in x-värdet som var givet.
3:an som var med från början har försvunnit.
Visserligen ska den multipliceras med 0.
Men minustecknet före cos(2x) har du också glömt, och vad hände med 2:an framför sin mellan rad 5 och 6?
Arup skrev:
jo, jag kan ju stoppa in det givna x-värdet dvs
Tillägg: 15 nov 2025 10:01
På rad 2 har du använt kedje-regeln för funktionen
för enkelhetens skull definerar jag det som två funktioner dvs
Efteråt tillämpar jag kedje regeln utifrån formel bladet som du nämde i inlägg #5.
Hädanefter stoppar jag in x-värdet som var givet.
OK, visa gärna dina fortsatta uträkningar.