37 svar
4335 visningar
Rova behöver inte mer hjälp
Rova 45 – Fd. Medlem
Postad: 28 jun 2023 21:22

Bestäm tangentens ekvation.

Kurvan y= x3 - 2x2 + 1, har en tangent i punkten (2:1). Bestäm tangentens ekvation.

Ok, jag börjar 

 

 x 3 -2x2 +1 = 

Hur fortsätter jag, det står still.

-x+1 eller är jag helt ute och cyklar?

 

 

 

Sten 1222 – Livehjälpare
Postad: 28 jun 2023 22:45

Vad säger derivatan i punkten x=2?

Rova 45 – Fd. Medlem
Postad: 29 jun 2023 13:11

Hur menar du? Jag ska bestämma ekvationen med 2:1, hur fortsätter jag? Är inget vidare bra på matte 3. 

Sten 1222 – Livehjälpare
Postad: 29 jun 2023 14:06 Redigerad: 29 jun 2023 14:07

Har ni gått igenom begreppet derivata, och hur man deriverar en funktion?

Det gäller att hitta tangenten till kurvan y=x3-2x2+1 i punkten x=2.

Tangenten är en rät linje som nuddar kurvan i en enda punkt (x=2, y=1). Just i punkten x=2 så har kurvan och den räta linjen samma lutning. Tangentens ekvation är y=kx+m, där k betecknar lutningen och m skärningspunkten med y-axeln.

Om man deriverar kurvan y och beräknar derivatan i punkten x=2 så får man kurvans lutning, som är densamma som k i den räta linjen.

Så här ser kurvan (grönt) och tangenten (rött) ut grafiskt:

Matteboken beskriver mer om kurvor och tangenter:
https://www.matteboken.se/lektioner/matte-3/derivata/tangentens-lutning#!/

Men för att förklara mer är det viktigt att veta om ni har gått igenom derivata och deriveringsreglerna.

Rova 45 – Fd. Medlem
Postad: 29 jun 2023 19:44

jag går på distans och min lärare är tyvärr inte mycket till hjälp.. Har börjat gå igenom det kapitlet. På denna kurs  får man klara sig själv. Den enda ”hjälpen” vi får är ”frågestund” 45 min varje fredag, och man får stå i kö.. inte ens säkert att man får hjälp. Trodde man skulle ha lärarledda lektioner någon gång i veckan, men icke. 

Rova 45 – Fd. Medlem
Postad: 29 jun 2023 19:47

Tusen tack för hjälpen, det är guld värt! Tror jag börjar förstå! Inte den bästa på matte som sagt, därför blir man lite besviken på skolan och lärarn som ”vägrar” ens komma med smarta råd.  Enbart kritik. Så tacksam för den här sidan ”pluggakuten.”

Rova 45 – Fd. Medlem
Postad: 29 jun 2023 19:49

Ja juste, jag MÅSTE lösa uppgiften genom Algebra, får inte använda mig av grafräknare. Lösa uppgiften algebraiskt. Hur börjar jag ??

Sten 1222 – Livehjälpare
Postad: 29 jun 2023 20:11

Bra att du börjar förstå.

I den här länken finns en lösning för funktionen f(x)=x2+2x
https://www.matteboken.se/lektioner/matte-3/derivata/derivata#!/

Du kan använda samma metod för att få fram k-värdet (lutningen) för din funktion. Då är mer än halva uppgiften löst. När du lärt dig teorin bakom derivatan finns en antal enklare deriveringsregler, se slutet av kapitlet:
https://www.matteboken.se/lektioner/matte-3/derivata/deriveringsregler#!/

Jag föreslår också att du utnyttjar Livehjälpen, där du kan diskutera med en volontär. Nästa tillfälle är söndag kväll. Livehjälpen körs via Teams, men du behöver inte ha Teams installerat.

Rova 45 – Fd. Medlem
Postad: 2 jul 2023 14:18

Sten 1222 – Livehjälpare
Postad: 2 jul 2023 14:35

Jag är inte med på den sista beräkningen.

Vad visar f(x)=x2+2x på sista raden? Är det tänkt att vara derivatan av den ursprungliga funktionen, tangenten eller något annat?

Om det är derivatan, så är det inte riktigt rätt, och tangenten ska vara en funktion av första graden (y=kx+m).

Förklara lite vad du tänkte göra, så fortsätter vi därifrån.

Rova 45 – Fd. Medlem
Postad: 2 jul 2023 14:38

Jag vill räkna ut funktionen algebraiskt då jag inte får använda min grafräknare. Jag fastnar bara och kommer inte vidare ändå. Tillbaka till "ritbordet" igen och läsa på.

Sten 1222 – Livehjälpare
Postad: 2 jul 2023 14:52

Mitt förslag är att du tittar i Matteboken 

https://www.matteboken.se/lektioner/matte-3/derivata/derivata#!/

I länken, mitt på sidan, finns en lösning för funktionen f(x)=x2+2x 

Använd samma teknik på funktionen i den här uppgiften så är lösningen nära.

Rova 45 – Fd. Medlem
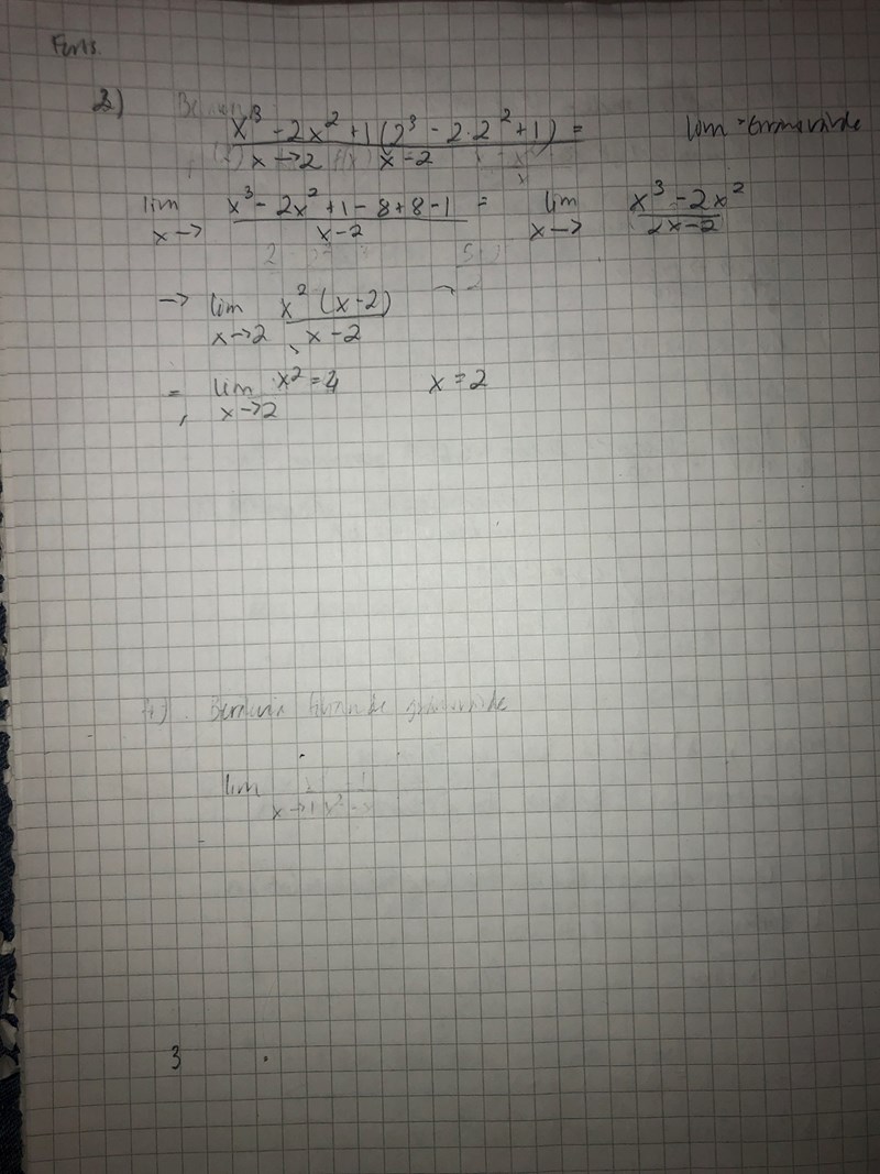
Postad: 3 jul 2023 11:35

f(x)=x3−2x2+1 är det så du menar?

Rova 45 – Fd. Medlem
Postad: 3 jul 2023 11:42 Redigerad: 3 jul 2023 11:49

Närmar jag mig nu?

Sten 1222 – Livehjälpare
Postad: 3 jul 2023 12:20

Jag är inte riktigt säker på alla steg, men det är rätt att räkna med lim (gränsvärde). Så jag ställer upp uträkningen som jag gjort den. Följ uträkningen och fråga om något är oklart. Tanken är att man tittar på två punkter, (x,f(x)) och (2, f(2)), som ligger nära varandra, och så låter man x närma sig 2.

k = f´(2) =limx2 f(x)-f(2)x-2

där f(x)=x3-2x2+1. Om man tittar på uppställningen ovan, så kan man se likheter med räta linjens ekvation, där k (lutningen) = yx

limx f(x)-f(2)x-2 = limx2x3-2x2+1 -(23-2*22+1)x-2 == limx2x3-2x2+1-8+8-1x-2 = limx2x3-2x2x-2 = limx2x2(x-2)x-2= limx2 x2 =4

Ett annat sätt att beräkna lutningen är att titta på derivatans definition.
https://www.matteboken.se/lektioner/matte-3/derivata/derivatans-definition#!/

Då tittar man på två x-punkter, x och (x+h) och låter h närma sig noll. Har ni räknat med den?

Rova 45 – Fd. Medlem
Postad: 3 jul 2023 12:23

Grymt, tack! Ska prova så fort jag är hemma igen. Har inte provat dessa än.

Sten 1222 – Livehjälpare
Postad: 3 jul 2023 13:41

Fråga om du är osäker på något.

Med den här beräkningen har vi kommit fram till lutningen på f(x) när x=2.

Så det återstår lite jobb för att komma fram till tangentens ekvation. Men det 'tyngsta' jobbet är gjort.

Några idéer om hur man får fram tangentens ekvation y=kx+m?

Rova 45 – Fd. Medlem
Postad: 3 jul 2023 15:42

Rova 45 – Fd. Medlem
Postad: 3 jul 2023 15:43

Har inte kommit fram till svaret y=kx+m ännu 

Rova 45 – Fd. Medlem
Postad: 3 jul 2023 15:57

Men det gäller ju att komma ”så nära” som möjligt när man ska få fram tangenten/bestämma tangenten.Eller

är jag fel ute ? 

Rova 45 – Fd. Medlem
Postad: 3 jul 2023 16:28

Jag förstår att jag nog är fel ute igen. Känns helt hopplöst. Andra ämnen är mycket lättare men matte är nog inte min grej.

Sten 1222 – Livehjälpare
Postad: 3 jul 2023 16:38

Det ser bra ut. Jag ser inte allt som står i slutet på sidan, men jag sammanfattar vad vi kommit fram till hittills.

Lösningen ska göras algebraiskt, men det är ändå bra att skissa en graf för att få en känsla för hur problemet ser ut. En tredjegradsekvation ser ofta ut som nedan, ett max och ett min.

Vi har kommit fram till att i punkten (2,1) så har kurvan f(x)=x3-2x2+1 lutningen, eller k-värdet, 4.

Och eftersom tangenten nuddar kurvan i punkten (2,1) så har den samma lutning, det vill säga k=4. Hade den räta linjen haft en annan lutning, så hade den inte varit en tangent i punkten.

Det betyder att vi vet att tangenten har ekvationen y=4x+m. Nu gäller det bara att bestämma m.

Ser du hur vi kan få fram m?

Jag ser också att du har med derivatans definition i din lösning:

Du kanske är mer van vid den. När vi har löst uppgiften, så kan jag visa hur vi kan få fram lutningen också med hjälp av derivatans definition.

Du har kämpat bra med uppgiften, så tappa inte sugen. Om du inte förstår något, så är det bara att fråga. Det är inte lätt att läsa matte på egen hand. Men på Pluggakuten och Livehjälpen kan du få den hjälp du behöver.

Rova 45 – Fd. Medlem
Postad: 3 jul 2023 16:46

Ska jag dividera k-värdet ? Hänger inte med. Eller ska jag kombinera k-värdet vi fick fram med 2 eller 1? 

Rova 45 – Fd. Medlem
Postad: 3 jul 2023 16:54

Eller om jag sätter in 4 (k-värdet) med h (1) subtraherar med x (2) dividerat med 1? Blir det så att m = 3??

Rova 45 – Fd. Medlem
Postad: 3 jul 2023 16:56

Sten 1222 – Livehjälpare
Postad: 3 jul 2023 16:58 Redigerad: 3 jul 2023 16:59

k-värdet är ett mått på lutningen. En tredjegradsfunktionen har olika k-värden längs kurvan, men i punkten (2,1) är k-värdet 4. Tangenten är en rät linje och har samma k-värde överallt.

Så vi vet nu två saker om tangenten:
1) k = 4, alltså är tangentens ekvation y=4x+m
2) tangenten vidrör punkten (2,1), alltså när x=2 så är y=1.

Då får vi ekvationen 1=4*2+m, vad blir m då?

Rova 45 – Fd. Medlem
Postad: 3 jul 2023 17:01

4*2=8 

Rova 45 – Fd. Medlem
Postad: 3 jul 2023 17:04

M=2?

Sten 1222 – Livehjälpare
Postad: 3 jul 2023 17:09 Redigerad: 3 jul 2023 17:11

Glöm inte att vi har 1 på vänster sida också. När vi sätter in punkten (2,1) i tangentens ekvation y=4x+m får vi:

1 = 4*2 + m
1 = 8 + m                                  (multiplicera ihop 4*2)
1-8 = 8 + m -8                         (dra bort 8 från båda sidor för att få m fritt på höger sida)
-7  = m                                      (beräkna)

Det betyder att m = -7. Och tangentens ekvation blir y=4x-7

Fråga mer om något är oklart.

Rova 45 – Fd. Medlem
Postad: 3 jul 2023 17:12

Men tack snälla för all hjälp. Blir så glad 😃 

Sten 1222 – Livehjälpare
Postad: 3 jul 2023 17:15

Hoppas du är med på de steg vi gjort, fråga annars. Jag skriver hur man kan få fram k-värdet med hjälp av derivatans ekvation också, ifall du är mer bekant med den.

Rova 45 – Fd. Medlem
Postad: 3 jul 2023 17:16

Inte så mycket men vill bara att det ska gå

Sten 1222 – Livehjälpare
Postad: 3 jul 2023 17:24

Det kan kännas mycket i början. Men när man lärt sig teorin, så kan man lösa liknande uppgifter. Och när du lärt dig derivera och deriveringsreglerna så blir det ännu enklare.

Rova 45 – Fd. Medlem
Postad: 3 jul 2023 17:55

Återigen, detta är guld värt 

Sten 1222 – Livehjälpare
Postad: 3 jul 2023 18:02

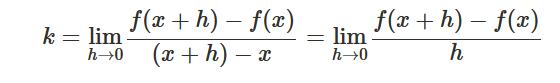
Så här får man fram lutningen med hjälp av derivatans definition.

Teori: https://www.matteboken.se/lektioner/matte-3/derivata/derivatans-definition#!/

Idén är att man tittar på två punkter på x-axeln som ligger väldigt nära varandra: x och x+h, där h är ett litet tal, som man försöker få så nära 0 som möjligt.

I vår uppgift är f(x)=x3-2x2+1

För (x+h) får vi därför f(x+h)=(x+h)3-2(x+h)2+1

För att göra beräkningarna behöver man kunna två formler:

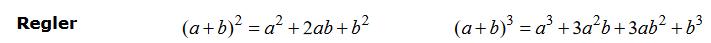
f(x+h)-f(x)h = (x+h)3-2(x+h)2+1- (x3-2x2+1)h =

=(x3+3x2h+3xh2+h3) - 2(x2+2xh+h2) + 1 - (x3-2x2+1)h == x3+3x2h+3xh2+h3-2x2-4xh-h2+1-x3+2x2-1h == 3x2h+3xh2+h3-4xh-h2h = = h(3x2+3xh+h2-4x-h)h = (förkorta bort h)= 3x2+ 3xh+h2-4x-h = (när h går mot 0) ==3x2-4x

Vi har kommit fram till att k-värdet för funktionen är 3x2-4x.

Och när x=2 blir k-värdet 3*22-4*2 = 12 - 8 = 4

Så det här är ett annat sätt att få fram k-värdet.

3x2-4x kan man också kalla funktionens derivata.

Rova 45 – Fd. Medlem
Postad: 5 jul 2023 08:42

Jag har ett annat ”problem” att lösa. Har börjat med denna.

beräkna (f) 2 då (f) x är = 2x-x2-3/ x 


Tillägg: 5 jul 2023 08:45

Eller ska ja översätta till deriveringsreglerna först ?

Sten 1222 – Livehjälpare
Postad: 5 jul 2023 08:45

Lägg upp en ny tråd med den uppgiften, så hjälper vi dig. 

Varje tråd ska bara innehålla en fråga.

Rova 45 – Fd. Medlem
Postad: 5 jul 2023 09:13

Har lagt in en på derivata

Svara
Close