6 svar
205 visningar
nyfiken888 behöver inte mer hjälp
nyfiken888 87
Postad: 10 aug 2018 20:53

Bestäm tangentlinjen

Hej,

Uppgiften lyder:
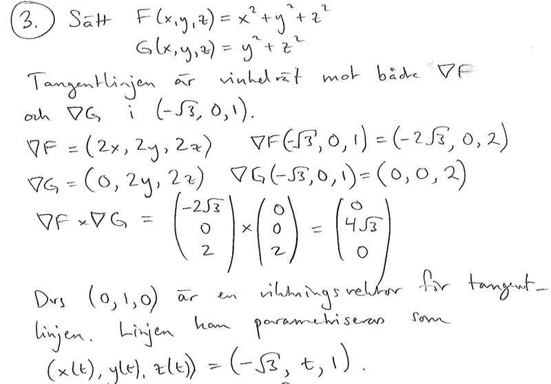
Bestäm tangentlinjen i (−√3,0,1) till kurvan som består av skärningen mellan ytorna x^2+y^2+z^2= 4 och
y^2+z^2= 1. Svara med en parametrisering av linjen.

sista steget förstår jag inte riktigt. Varför är (0,1,0) en riktningsvektor för tangentlinjen? samt hur har man fått linjen?

 

/Tack

Smaragdalena 78892 – Avstängd
Postad: 10 aug 2018 21:08

Du (eller facit) har kommit fram till att tangentlinjen är F×G = (0,43,0). Denna vektor har samma riktning som vektorn (0,1,0). Är detta svar på din fråga?

nyfiken888 87
Postad: 10 aug 2018 21:12
Smaragdalena skrev:

Du (eller facit) har kommit fram till att tangentlinjen är F×G = (0,43,0). Denna vektor har samma riktning som vektorn (0,1,0). Är detta svar på din fråga?

 tack för snabba svaret. hur fick man linjen (-rot(3),t,1)?

Smaragdalena 78892 – Avstängd
Postad: 10 aug 2018 21:25

Man skapade sig en linje med riktningsvektorn (0,1,0) som går genom punkten (-3,0,1)(-\sqrt3,0,1)

nyfiken888 87
Postad: 10 aug 2018 21:29
Smaragdalena skrev:

Man skapade sig en linje med riktningsvektorn (0,1,0) som går genom punkten (-3,0,1)(-\sqrt3,0,1)

 ja precis, men hur skapar man en linje med riktningsvektorn och givna punkten?

Smaragdalena 78892 – Avstängd
Postad: 10 aug 2018 21:37

Du skulle kunna skriva det som den fasta punkten (-3,0,1)(-\sqrt3,0,1) plus parametern tt gånger riktningsvektorn (0,1,0)(0,1,0) men du kan också slå ihop det till (-3,t,1)(-\sqrt3,t,1).

nyfiken888 87
Postad: 10 aug 2018 21:50
Smaragdalena skrev:

Du skulle kunna skriva det som den fasta punkten (-3,0,1)(-\sqrt3,0,1) plus parametern tt gånger riktningsvektorn (0,1,0)(0,1,0) men du kan också slå ihop det till (-3,t,1)(-\sqrt3,t,1).

 

tusen tack!

Svara
Close