2
svar
110
visningar
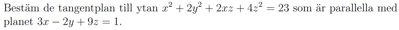
Bestäm tangentplan
Jag har denna uppgiften: 
Och jag tänker att, för att få fram tangeringspunkterna, gradienten till ytan då måste vara parallell mot planets normalvektor. Punkten måste även uppfylla tangentplanets ekvation. Om man kallar tangeringspunkterna (a,b,c) blir det:
och . Det första villkoret ger mig väll då tre ekvationer: . Men jag vet inte riktigt hur jag ska lösa det för fick , och det blir fel.
Hej!
Du har skrivit fel: borde vara .
Om du rättar detta, får du ett mycket "bättre" värde på .
Hoppas detta hjälper dig vidare.
arad1986 skrev:Hej!
Du har skrivit fel: borde vara .
Om du rättar detta, får du ett mycket "bättre" värde på .
Hoppas detta hjälper dig vidare.
Yes, tack då stämde det!