2
svar
179
visningar
destiny99 behöver inte mer hjälp
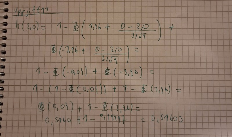
Bestäm testets styrka för alternativet H1:u=2.0


Hej
Mitt svar verkar inte alls vara nära alternativen vilket gör mig fundersam över vad som gått snett här.
Du använde 1.96 istället för 1.282.
theAlipali skrev:Du använde 1.96 istället för 1.282.
Jaa det är sant! Tack för uppmärksamhet. Jag la märke till det sen 😅