Bestäm tyngdpunktens x-koordinat
Jag har ingen aning om hur man ska räkna uppgiften, har inte räknat någon liknande uppgift tidigare. Skulle vara tacksam om någon skulle kunna visa hur man ska räkna den.
Vet du hur man räknar ut den gemensamma tyngdpunkten för två objekt?
Du har ett objekt med massa m1 med tyngdpunkt på position x1 och ett annat med massa m2 på position x2.
Ett trick här är att låta en massa vara negativ.

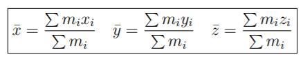
Nej jag vet inte hur man gör, men hittade den här formeln, har den något med saken att göra?
Ja, den västra formeln är användbar här.
Det "helas" moment = Summan av delarnas moment
För en jämntjock och jämntung skiva kan massan i formeln ovan ersättas med area.
Den "ohålade" gröna arean=?
"Hålets" area=?
Den "hålade" gröna arean=?
Välj en momentpunkt och använd formeln.
Det finns en smart momentpunkt.
Kommer du vidare?
Har nu räknat ut vad alla areor är:
Gröna arean: 37051,8
Hålet: 9263
Gröna arean - hålet: 27788,8
Sen då jag ska välja momentpunkt, kan jag då välja punkten som finns i origo?
Ja det tycker jag är bra.
Uttrycker du areorna i antal
behövs endast en uträkning på slutet.
Alternativ uträkning:
Stora cirkeln: massa 4m, masscentrum i x = 0.
Lilla cirkeln: massa -m, masscentrum i x = -R.
(läggs dessa ihop så fås den gröna arean.)
Masscentrums position i x är då
(4m*0 + (-m)*(-R))/(4m - m) = R/3
Ja det blir ju rätt.
Jag tänker att det hela=den stora, är uppbyggd av delarna den lilla+ det gröna
vilket ger samma resultat