bestäm v


Jag har fastnat på den här frågan
Man kan ju alltid börja med att rita kulans bana.
Ja. Så då kan man skriva ett uttryck för hastighetens storlek.
2pir/Vo?
Bayan Ali skrev:2pir/Vo?
Är det ens en hastighet?
nej, nej. Tänkte fel, jag menar Vo/pi
Bayan Ali skrev:jag menar Vo/pi
Bra.
Så då återstår bara att bestämma kastriktning och hastighetens storlek relativt vagnen.
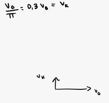
Det är nog bra att rita igen, ett vektordiagram för hastigheter.
Jag får tan(a)=(1/pi) -> a=17,7 grader
jag har nu kollat facit
vinkeln ska vara 148grader och hastigheten = 1,2vo
Bayan Ali skrev:jag har nu kollat facit
vinkeln ska vara 148grader
Det låter väl rimligt, kasta snett bakåt.
Rita.
Varför ska den vara kastad snett bakåt?
Bayan Ali skrev:Varför ska den vara kastad snett bakåt?
Rita bara vad riktningen blir om man kastar 90 grader relativt vagnen, då ser du varför kulan då inte hamnar i punkt B.
Jag förstår inte riktigt det du menar 
Så eller?
Bayan Ali skrev:Jag förstår inte riktigt det du menar
Så eller?
Nej.
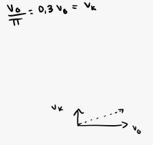
Glöm cirkeln, rita ett diagram för hastighetsvektorerna, skalenligt.
Ett additionsdiagram för vektorer ska förstås ha tre pilar.
Ger det inte anledning till lite eftertanke?



