7 svar
42 visningar
KlmJan behöver inte mer hjälp
KlmJan 1466
Postad: Idag 15:19

Bestäm värdena på t för ekvationen

Hej! 

Har löst följande uppgift, men ver inte riktigt hur jag ska göra på sista steget då jag kom fram till ett svar men olikhetstecknena skiljde sig från facit, så jag gissar på att det har mer med att jag inte förstått något på den fronten än att jag gjort något större fel i min uträkning. 

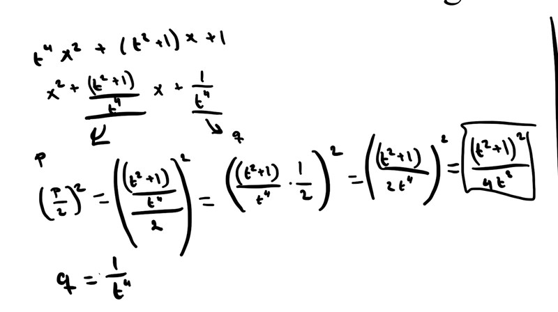
Ekvationen är:
t4x2+(t2+1)x + 1 =0

Den exakta frågan är med på bilden:

Laguna Online 32171
Postad: Idag 15:43

Det är svårt att läsa dina exponenter, de är för små.

KlmJan 1466
Postad: Idag 15:44

sorry, ska fixa större bild

KlmJan 1466
Postad: Idag 15:46


Laguna Online 32171
Postad: Idag 16:08 Redigerad: Idag 16:09

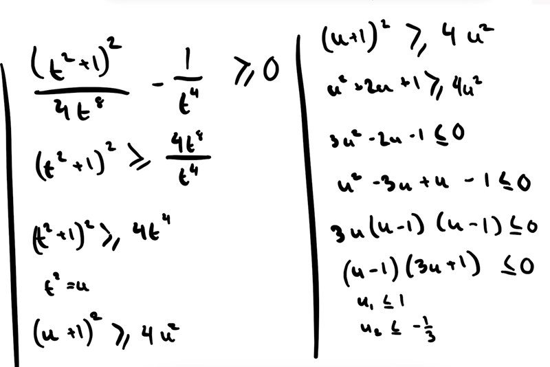
t21t^2 \le 1 håller jag med om, men vad betyder egentligen nästa rad?

I det blåa står t-1t\le -1. Hur går det om t.ex. t = -2?

KlmJan 1466
Postad: Idag 16:16 Redigerad: Idag 16:22

Jo det är ju det jag är lite osäker över om jag gjort rätt på. Om det hade varit en likhet istället hade man ju skrivit t^2=1 och sedan t=+-sqrt 1 för att man drar roten ur på båda led för att bli av med exponenten. Kanske får man inte göra det i olikheter? 

Det blåa är bara det jag kom fram till från just det som står på raden under t21.

 

Jag testade sätta in t=-2 i det förenklade uttrycket

 (t2+1)24t2Jag fick då 2564

Tecknet är felvänt så jag måste alltså vända på det så att -1<=t

har detta med någon räkneregel att göra? Jag tätnekr som när man dividerar eller multiplicerar med ett negativt tal för att lösa olikheter vänder ju tecknet. 

LuMa07 631
Postad: Idag 16:49 Redigerad: Idag 16:50

Om du drar kvadratroten ur båda leden i olikheten t21t^2 \le 1, så kommer du att få |t|1|t| \le 1, d.v.s. avståndet från tt till 00 är mindre än 11, vilket alltså medför att -1t1-1 \le t \le 1.

Detta beror på att t2=|t|\sqrt{t^2}={|t|}. (I allmänhet är det INTE sant att t2=t\sqrt{t^2}=t.)


Vad skulle olikheten t±1t \le \pm 1 betyda ens? Att t1t \le 1 och samtidigt t-1t \le -1? Sådant är ju inte rimligt.


Alternativ lösning:

Flytta över samtliga termer till ena ledet av olikheten, faktorisera och sedan teckenstudera.

t21t2-10(t-1)(t+1)0t^2 \le 1 \iff t^2-1 \le 0 \iff (t-1)(t+1) \le 0

KlmJan 1466
Postad: Idag 18:10
LuMa07 skrev:

Om du drar kvadratroten ur båda leden i olikheten t21t^2 \le 1, så kommer du att få |t|1|t| \le 1, d.v.s. avståndet från tt till 00 är mindre än 11, vilket alltså medför att -1t1-1 \le t \le 1.

Detta beror på att t2=|t|\sqrt{t^2}={|t|}. (I allmänhet är det INTE sant att t2=t\sqrt{t^2}=t.)


Vad skulle olikheten t±1t \le \pm 1 betyda ens? Att t1t \le 1 och samtidigt t-1t \le -1? Sådant är ju inte rimligt.


Alternativ lösning:

Flytta över samtliga termer till ena ledet av olikheten, faktorisera och sedan teckenstudera.

t21t2-10(t-1)(t+1)0t^2 \le 1 \iff t^2-1 \le 0 \iff (t-1)(t+1) \le 0

Nu när du förklarar jag logiken bakom allt, tack för din förklaring och förslag till alternativ lösning, det var väldigt hjälpsamt :)

Svara
Close