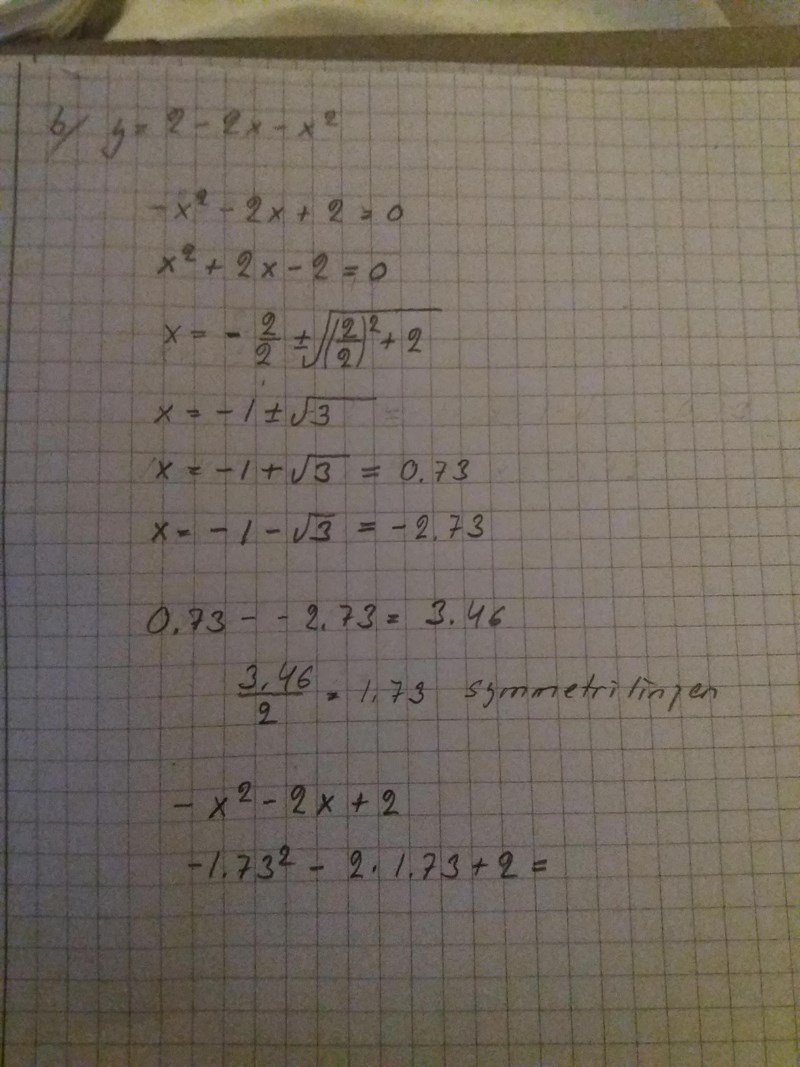
Du gör helt rätt fram till dess att du skall räkna ut symmetrilinjen. där borde du ha (0,73 + (-2,73))/2. Då får du en helt annan och korrekt symmetrilinje.
Dock kan du se denna enklare mycket tidigare. Tänk på hur pq-formeln är utformad. I den tar du Detta innebär ju att dina rötter ligger lika lång till vänster och höger om -p/2. Det vill säga -p/2 är din symmetrilinje! I detta fall blir alltså symmetrilinjen -2/2 = -1
Jag begrep det tillslut. Jag visade ett sådant bild att jag hade rättat till det. Kolla det.
Tack i alla fall för det här.
Päivi skrev :
Jag begrep det tillslut. Jag visade ett sådant bild att jag hade rättat till det. Kolla det.
Tack i alla fall för det här.
Hej Päivi. Det stämmer.
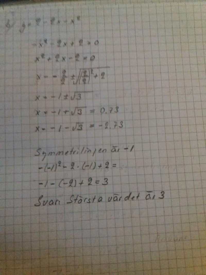
Som sagt, det räcker att bestämma att symmetrilinjen är x = -1 (inte bara "-1") för att hitta var max- eller minpunkten ligger.
Men jag saknar en motivering till varför det är just en maxpunkt.
Motivering till Yngve
Ja, det ser man av minus tecknet framför eländet.
Päivi skrev :Motivering till Yngve
Ja, det ser man av minus tecknet framför eländet.
Ja det är en tillräckligt bra motivering Päivi.
Här är en bra sammanfattning på Matte 2-nivå av de viktigaste aspekterna avseende andragradsfunktioner.
När du sedan kommit in på detta med derivata så kommer du även att få andra verktyg för att avgöra vilken karaktär en funktions extrempunkter har.
Tack för detta Yngve!
Alternativt kan man lösa detta med kvadratkomplettering:
Vi ser nu direkt att det största värdet fås då kvadrattermen blir noll, vilket den blir för . Största värdet blir då lika med .
Bra Tomast 80.

