3
svar
68
visningar
Hej
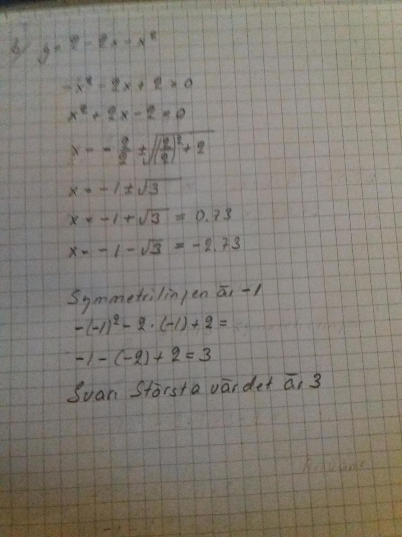
Din första bild ser rätt ut. Istället för att hitta rötterna så räcker det bara att kolla på
där är symmetrilinjen.
På din andra bild så blir det fel när du tar fram symmetrilinjen. Avståndet är symmetrisk kring symmetrilinjen dvs
Jag hade lite otur. Jag fick av misstag tre inlägg som jag inte ville ha Jag försökte bocka bort alla. Jag fick hjälp av en annan här också. Det här är nu klart.
Jag tackar Dig ändå för hjälpen.
Tråd låst. Dubbelpost. Se anda tråden. /moderator


