1
svar
101
visningar
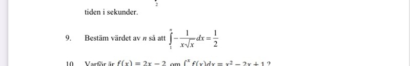
Bestäm värdet av n, integralen
hur kan man tänka här?
Du kan skriva om -1/(x×x^0,5) till -1×x^(-1,5)
Sen kan du lätt få fram primitiv funktion