1
svar
141
visningar
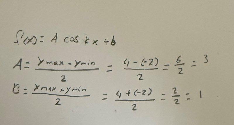
Bestäm värdet på konstanterna A och B, när formen är y=A cos kx + b


Har försökt lösa den uppgiften men fastnar på att svaret på a) är [1:3], [2:1] och att b) k=2
Förstår inte riktigt facit.
Varken (1,3) eller (2,1) är korrekta lösningar.
Din lösning (A,b)=(3,1) är korrekt.