5 svar
100 visningar
Bayan Ali behöver inte mer hjälp
Bayan Ali 1122 – Fd. Medlem
Postad: 22 mar 2022 12:29

Bestäm vilka värden x kan anta

Vad har jag gjort för fel

Laguna Online 32110
Postad: 22 mar 2022 13:14

Det är rätt, men det finns fler lösningar.

Bayan Ali 1122 – Fd. Medlem
Postad: 22 mar 2022 16:18

Finns det något sätt man kan lösa den på för att få alla lösningar?

Fermatrix 7621 – Fd. Medlem
Postad: 22 mar 2022 16:21

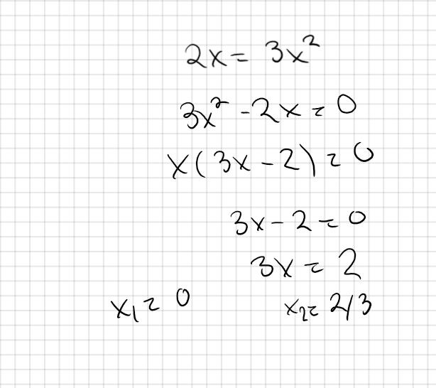
Du får aboslut inte dividera med x! Vad händer om x=0? Om du skall dividera med x så antar vi att x0x \neq 0 men om du kollar noga ser du att x=0x = 0 löser ekvationen.

Istället för att dividera, lägg över allt på samma sida och faktorisera. Sedan är det bara att använda nollproduktsmetoden.

Bayan Ali 1122 – Fd. Medlem
Postad: 22 mar 2022 16:24

Så där?

Laguna Online 32110
Postad: 22 mar 2022 16:27

Visst kan man dela med x på det viset, men man ska vara medveten om att x i så fall inte kan vara 0, och komma ihåg det till senare (eller för all del kolla direkt att x = 0) är en lösning.

Svara
Close