5
svar
118
visningar
karisma behöver inte mer hjälp
Bestäm vilken ålder
Hej!
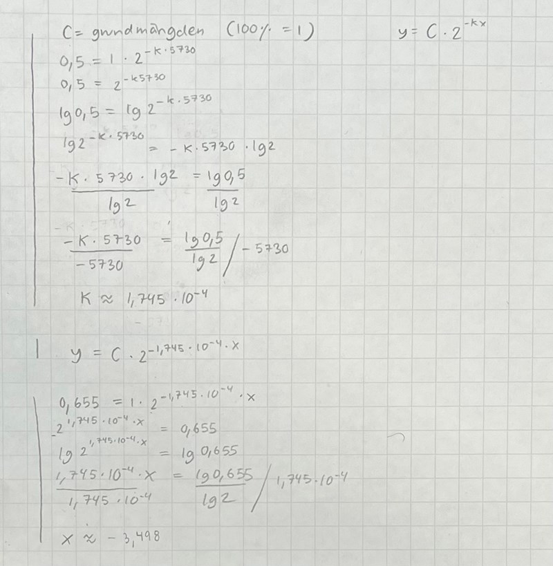
Jag håller på med denna uppgift som du kan se nedan. Nedan kan du även se hur jag löste uppgiften. Jag kom fram till att svaret blev -3,498 men svaret ska bli 3498. Jag undrar vad för fel jag har gjort i min uträkning?
Tack på förhand!


Du har tappat bort ett minustecken i exponenten mellan andra och tredje raden på den sista uträkningen.
Minusttecknet som ska stå framför 1,745 * 10-4 * x?
Jag testade att beräkna den på nytt fast minustecknet denna gång, och nu blev svaret positivt men jag får ändå inte fram rätt svar som ska bli 3498, utan jag får fram 3,498. Hur kommer det sig?
Funkar det om du skriver parenteser runt 1,745.10-4?
Ja! Nu funkade det! Tack!