10 svar
309 visningar
Koizenu 203
Postad: 24 feb 2025 18:38

Bestäm volymen av den uppkomna kroppen

Marilyn 4014
Postad: 24 feb 2025 20:51

Jag har inte börjat på uppgiften ännu. Den första frågan jag ställer mig är om man ska betrakta rotationskroppen som sammansatt av lodräta eller vågräta skivor. Återkommer.

Marilyn 4014
Postad: 24 feb 2025 21:21

Om vi tar vågräta skivor (som du tycks ha gjort) så har vi x = ey

y går nu från 0 till 1 (du har skrivit 0 till e, det tror jag är fel).

En skiva har arean pi e2 – pi (ey)2 = pi e2 – pi e2y

Så volymen blir Integralen från 0 till 1 av pi ( e2 – e2y) dy

Jag ska räkna färdigt så får vi se.

Marilyn 4014
Postad: 24 feb 2025 21:27 Redigerad: 24 feb 2025 22:06

Jag är definitivt ringrostig här, men jag får (e2+1) pi/2.

Kan det vara rätt? 

En koll är att ta lodräta band, men det är litet jobbigare att integrera  x ln x. 

MaKe 938
Postad: 24 feb 2025 21:38

Marilyn 4014
Postad: 24 feb 2025 22:16

Oj, här försvann ett inlägg som jag trodde jag postat.

Mitt resultat blev (e2+1)pi/2.

Alternativet är att integrera lodräta blad som går runt y-axeln.

Då måste man integrera x lnx vilket är jobbigare (det blir 2x2 lnx – x2)/4 

Trinity2 Online 4042
Postad: 25 feb 2025 03:05
Marilyn skrev:

Oj, här försvann ett inlägg som jag trodde jag postat.

Mitt resultat blev (e2+1)pi/2.

Alternativet är att integrera lodräta blad som går runt y-axeln.

Då måste man integrera x lnx vilket är jobbigare (det blir 2x2 lnx – x2)/4 

Jag fick samma.

Marilyn 4014
Postad: 25 feb 2025 11:55
MaKe skrev:

Var det något skumt med sajten igårkväll? Detta inlägg såg jag inte då, och ett av mina försvann. Nevermind, jag tycker det ser ut som att du roterar runt x-axeln i stället för y-axeln.

MaKe 938
Postad: 25 feb 2025 11:58

Marilyn skrev:

Var det något skumt med sajten igårkväll? Detta inlägg såg jag inte då, och ett av mina försvann. Nevermind, jag tycker det ser ut som att du roterar runt x-axeln i stället för y-axeln.

Ops, det har jag gjort (roterat runt x-axeln).

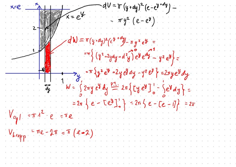
Yngve 42550
Postad: 25 feb 2025 12:22 Redigerad: 25 feb 2025 12:22

π2(e2+1)\frac{\pi}{2}(e^2+1) stämmer.

Om man inte inser att det går att ställa upp med en enda integral eller känner sig ovan vid att integrera skivor med hål i så går det utmärkt att istället se kroppen som det som blir kvar om man "gröper ur" en cylinder (radie e, höjd 1) med hjälp av y = ln(x) som roteras runt y-axeln.

MaKe 938
Postad: 25 feb 2025 12:26 Redigerad: 25 feb 2025 12:27
Yngve skrev:

π2(e2+1)\frac{\pi}{2}(e^2+1) stämmer.

Om man inte inser att det går att ställa upp med en enda integral eller känner sig ovan vid att integrera skivor med hål i så går det utmärkt att istället se kroppen som det som blir kvar om man "gröper ur" en cylinder (radie e, höjd 1) med hjälp av y = ln(x) som roteras runt y-axeln.

Jag har precis räknat om och gjort som du beskriver. Kommit fram till π2(e2+1)\frac{\pi}{2}(e^2+1) också.

Svara
Close