Bestäm Wk

partikelns kinetiska energi i en punkt mitt emellan plattorna
Jag tänkte så här:

Men det är fel
Du använder fel formel för Ep. Använd Ep/Q=V.
Sedan mäts arbete fortfarande inte i Newton! ;)
mrpotatohead skrev:Använd Ep/Q=V.
Vilken höjd ger den formeln? Är det maxhöjden? Alltså den potentiella energin vid 2cm
Vad är facit?
3.6*10^-17 J
Jag får inte till det. Ek mittemellan borde ju vara Ep/2 där Ep=U*Q, men detta blir 3,2*10^-16..
Ser inte heller hur jag ska få in massan och avståndet..(även om man inte alltid behöver all data)
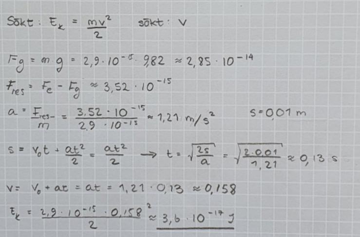
Här är deras lösning:

Jag förstår den inte riktigt dock
Aha, jag tänkte på att gå hastighet-tids-vägen oxå men såg inte hur jag skulle kunna komma in där utan a. Tänkte inte på att man kunde räkna med mg.. hehe
Vad är det du inte förstår?
De vill beräkna Ek genom mv^2/2 men har inte v.
För att lösa v utnyttjar de att Fe (U*Q/d) - Fg = Fr som också går att beteckna Fr=ma.
Här löser de ut a, använder a och s (0,01m) för att ta reda på t, och tillsist använder de t för att ta reda på v och använda v i mv^2/2
Det enklaste är ju att bestämma kinetisk energi i eV. Den ser man direkt, 2,0 keV = 3,2 · 10-16 J.
Men det ger inte samma som facit. Ah, man ska räkna med gravitation också.
Då är det enkelt att subtrahera mgh = 2,9 · 10-15 × 10 × 0,01 = 2,9 · 10-16 J.
Svar: 3 · 10-17 joule. Det är inte befogat med fler signifikanta siffror än så.
Pieter Kuiper skrev:Det enklaste är ju att bestämma kinetisk energi i eV. Den ser man direkt, 2,0 keV = 3,2 · 10-16 J.
Men det ger inte samma som facit. Ah, man ska räkna med gravitation också.
Då är det enkelt att subtrahera mgh = 2,9 · 10-15 × 10 × 0,01 = 2,9 · 10-16 J.
Svar: 3 · 10-17 joule. Det är inte befogat med fler signifikanta siffror än så.
Det känns väl konstigt att tänka att 3E-17 skulle vara samma som 3,6E-17 eftersom 3,6 avrundas till 4?
Sedan ser jag inte varför det inte är befogat med fler värdesiffror än en när all indata är angiven med två stycken?
mrpotatohead skrev:Pieter Kuiper skrev:Det enklaste är ju att bestämma kinetisk energi i eV. Den ser man direkt, 2,0 keV = 3,2 · 10-16 J.
Men det ger inte samma som facit. Ah, man ska räkna med gravitation också.
Då är det enkelt att subtrahera mgh = 2,9 · 10-15 × 10 × 0,01 = 2,9 · 10-16 J.
Svar: 3 · 10-17 joule. Det är inte befogat med fler signifikanta siffror än så.Det känns väl konstigt att tänka att 3E-17 skulle vara samma som 3,6E-17 eftersom 3,6 avrundas till 4?
Sedan ser jag inte varför det inte är befogat med fler värdesiffror än en när all indata är angiven med två stycken?
Om jag skulle ta g=9,8 m/s2 får jag att gravitationell lägesenergi blir 2 % mindre och så kan jag också få 3,6 · 10-17 joule.
Men om avståndet hade varit lite större, om spänningen hade varit lite mindre och om massan hade varit lite större hade partikeln inte nått upp till mitten. Så osäkerheten i dess kinetiska energi är stor. Den ligger mellan 0 och ungefär 6 · 10-17 joule.
Pieter Kuiper skrev:mrpotatohead skrev:Pieter Kuiper skrev:Det enklaste är ju att bestämma kinetisk energi i eV. Den ser man direkt, 2,0 keV = 3,2 · 10-16 J.
Men det ger inte samma som facit. Ah, man ska räkna med gravitation också.
Då är det enkelt att subtrahera mgh = 2,9 · 10-15 × 10 × 0,01 = 2,9 · 10-16 J.
Svar: 3 · 10-17 joule. Det är inte befogat med fler signifikanta siffror än så.Det känns väl konstigt att tänka att 3E-17 skulle vara samma som 3,6E-17 eftersom 3,6 avrundas till 4?
Sedan ser jag inte varför det inte är befogat med fler värdesiffror än en när all indata är angiven med två stycken?
Om jag skulle ta g=9,8 m/s2 får jag att gravitationell lägesenergi blir 2 % mindre och så kan jag också få 3,6 · 10-17 joule.
Men om avståndet hade varit lite större, om spänningen hade varit lite mindre och om massan hade varit lite större hade partikeln inte nått upp till mitten. Så osäkerheten i dess kinetiska energi är stor. Den ligger mellan 0 och ungefär 6 · 10-17 joule.
Okej då förstår jag