2
svar
99
visningar
TPMusk behöver inte mer hjälp
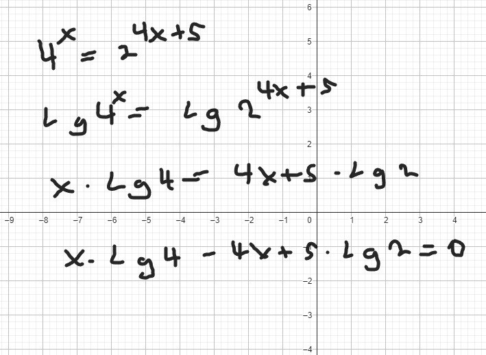
Bestäm x

Min lösning hittills:

Hur ska jag fortsätta om jag ska använda logaritmer?
Bedinsis skrev:
Just det. Tackar