Bestämma absolutbelopp och argument
Hejsan!
Jag ska bestämma absolutbelopp och argument för , samt ange detta i radianer.
Började såhär:
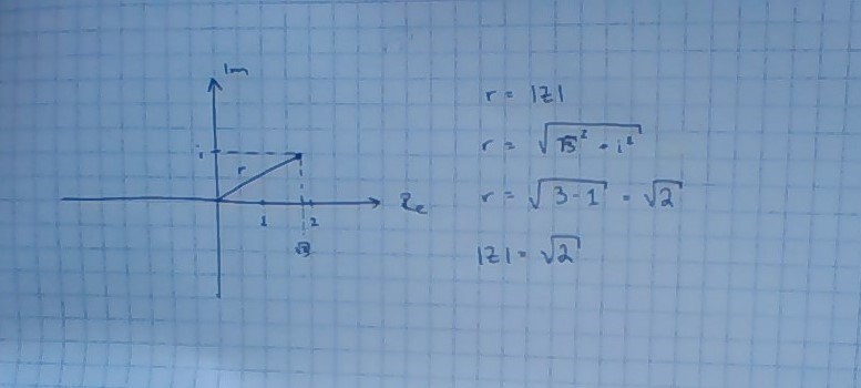
Ritade först upp det komplexa talplanet såhär
Sen ville jag ta reda på vinkeln mellan visaren och den reella talaxeln:
är dock större än 1 och därför får jag inte ut en vinkel, men vet inte hur jag ska tänka annars?
Tror jag löste den första delen!
Under roten ur tecknet ska det inte vara i, utan 1 och därför blir r=2.
Ger att: cos v =
v=30 grader =
Sen fastnar jag dock. När jag kollar på ett lösningsexempel skriver de såhär (se inringade delen):

Det steget förstår jag inte riktigt. Hur går jag vidare i mitt fall?
EDIT:
Löste den uppgift jag frågade från början.
MEN, förstår ändå inte steget de gör som är inringat i bilden ovan. Hur motiveras det?
Beloppet är inte utan
Felet är inringat. Det ska istället vara .
Den korta katetens längd är ju inte utan .

Tack! Hann inte redigera min egen fråga innan, men löste upg. nu! :D
Förstår dock ändå inte det inringade i bilden jag la in (på exempelupg), hur motiverar de det steget? Varför sätter de -1+i = ... ?
Det inringade steget är bara en sammanfattning av vad som händer ovanför. De räknar fram att beloppet av -1+i är , och argumentet är . Skrivet på polär form blir -1+i alltså