Bestämma delrum och baser med basbytesmatris

Uppgift a och b har jag löst men jag förstår inte riktigt hur lösningen för fråga c. Det jag kom fram med i fråga c var att basen B kan vara {, } vilket ger C efter basbytesmatrisen {, }.
Jag vet att dimensionen för delrummet V är den andra dimensionen och jag vet att både C och B är baser för delrummet i . Det betyder då att vi har x,y,z värden men kan exkludera en av de värdena eftersom P är i 2:a dim.
I lösningen står det däremot att:
Om vi väljer delrummet som ges av z = 0 och
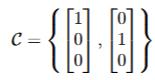
Ges basen B i :
Det känns konstigt eftersom i uppgiften hävdar de att vi ska gå från B till C med hjälp av basbytesmatrisen. Väljer man att skriva basen i c på samma sätt som de bör ju B då vara inversen av basbytesmatrisen P matrismultiplicerat med varje basvektor för sig.
All hjälp skulle uppskattas :)
I uppgifter med olika baser, underrum och transformationer är det lätt att göra slarvfel. Ett enkelt trick som hjälper dig räkna rätt och undvika förvirring är övertydlig notation. Basbytesmatrisen i uppgiften kan göras tydligare genom att vi lägger till texten
En ekvation som berättar hur vi på ett enkelt sätt får koordinaterna för vektorn i basen om vi redan har dem i basen är
Här betyder notationen koordinaterna för vektorn i basen .
Notera att kolonnerna i basbytesmatrisen är den gamla basen uttryckt i den nya basen .
I din egen lösning till c) ansätter du en ordnad bas för . Sedan vill du veta vad basen måste vara. Det du behöver använda då är inversen
Nu är kolonnerna i basbytesmatrisen den gamla basen uttryckt i den nya basen . Det ger oss basvektorerna
D4NIEL skrev:I uppgifter med olika baser, underrum och transformationer är det lätt att göra slarvfel. Ett enkelt trick som hjälper dig räkna rätt och undvika förvirring är övertydlig notation. Basbytesmatrisen i uppgiften kan göras tydligare genom att vi lägger till texten
En ekvation som berättar hur vi på ett enkelt sätt får koordinaterna för vektorn i basen om vi redan har dem i basen är
Här betyder notationen koordinaterna för vektorn i basen .
Notera att kolonnerna i basbytesmatrisen är den gamla basen uttryckt i den nya basen .
I din egen lösning till c) ansätter du en ordnad bas för . Sedan vill du veta vad basen måste vara. Det du behöver använda då är inversen
Nu är kolonnerna i basbytesmatrisen den gamla basen uttryckt i den nya basen . Det ger oss basvektorerna
Jag har för mig att jag missat att frågan förväntar sig att man skriver C som identitetsmatrisen och använder den nya basbytesmatrisen från fråga b för att hitta det uttryckt i basen B.
tack för svaret.
Nja, om du vill få ett svar som stämmer med facit får du ansätta samma bas för C som facit gjort.
Det finns dock inget i frågan som säger att just den basen skulle vara mer rätt än någon annan bas. Det finns oändligt många möjliga baser, men det är lättast att ansätta B eller C som en identitetsmatris, dvs med kolonner som "standardbasen".