Bestämma derivata med derivatans deffintion
Hej! Jag skulle behövs hjälp med uppgiften..
Det här är min lösning hittills
A: falskt då det blir h/h vilket om h går mot noll ger 0/0 som ej är 1.
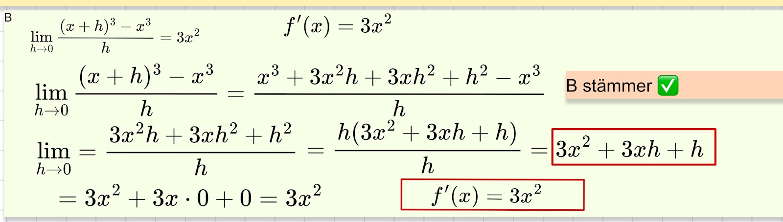
b= stämmer ej då f’(x) inte är 3x2
C: Här vet jag inte hur jag ska komma vidare. I bakhuvudet vet jag ju att den ska stämma men vet inte hur jag kan skriva det med derivatans deffintion.
D. Falskt enligt derivatans deffintion
E. Det jag inte hur jag ska tolka eller komma vidare.

Maddefoppa skrev:Hej! Jag skulle behövs hjälp med uppgiften..
Det här är min lösning hittills
A: falskt då det blir h/h vilket om h går mot noll ger 0/0 som ej är 1.
Fel, h/h kan förkortas till 1 innan man låter h gå mot 0.
b= stämmer ej då f’(x) inte är 3x2
Vad är derivatan av funktionen f(x) = x3?
C: Här vet jag inte hur jag ska komma vidare. I bakhuvudet vet jag ju att den ska stämma men vet inte hur jag kan skriva det med derivatans deffintion.
D. Falskt enligt derivatans deffintion
Det här behöver du visa tydligare.
E. Det jag inte hur jag ska tolka eller komma vidare.
Hur menar du för B? Hur skulle man gå till väga då?
Derivatan till f(x)= x3 är 3x
Okej laddar upp igen
För A

FÖR B

För D
Du tappar fortfarande en trea på sista raden.
Hur menar du?
Så för A borde det istället stå

men hur kan 0/0=1 om h går mot 0?
Maddefoppa skrev:Så för A borde det istället stå
men hur kan 0/0=1 om h går mot 0?
h/h=1.
Man ska förenkla så långt man kan innan man låter h gå mot noll.
För B menar du att det istället ska skrivas

för då får jag f’(x)= 3x2 dvs B stämmer
A så h/h förenklas bort dvs blir bara 1h/1h= 1/1=1?
För D men vet inte om jag tänker rätt
känns fel

Och hur tolkar jag E? och kommer vidare med C?
Maddefoppa skrev:För D men vet inte om jag tänker rätt
känns fel
Det stämmer inte. Du kan tänka så här:
Om så kan du skriva täljaren som .
Då kan gränsvärdet skrivas
Kommer du vidare då?
För C: Skriv f(x) = sin(x). Då kan täljaren skrivas f(x+h)-f(x).
Kommer du vidare då?
Tips: Se även här.
Tips på E: Med hjälp av sambandet mellan en bestämd integral och integrandens primitiva funktion kan du skriva om täljaren så att den passar bra in i derivatans definition.
Så för A borde det alltså blir istället

För D är deg här jag inte vet hur jag kommer vidare

Och för C får jag det till…
men samma sak här förstår inte hur jag kommer vidare kan sin(x+h) skrivas som sin(x)+sin(h)?
Maddefoppa skrev:Så för A borde det alltså blir istället
Ja, det stämmer.
Maddefoppa skrev:För D är deg här jag inte vet hur jag kommer vidare
Gör tvärtom:
Om du sätter så är
= (derivatans definition) V.S.V. (vilket skulle visas)
Maddefoppa skrev:Och för C får jag det till…
men samma sak här förstår inte hur jag kommer vidare kan sin(x+h) skrivas som sin(x)+sin(h)?
Nej det stämmer inte. Men om f(x) = sin(x) så är sin(x+h)-sin(x) = f(x+h)-f(x).
Då blir gränsvärdet per definition lika med f'(x), vilket vi ju vet är lika med cos(x), V.S.V.
så för e blir det f? Eller dvs själva f i f(x+h) blir e? Alltså det kan ersättas? Förstår inte riktigt:(
Så detta skrivsätt skulle då istället gälla?
Samt för C

Maddefoppa skrev:Samt för C
Lägg gärna till = f'(x) innan det sista = cos(x).
Precis som på D
Maddefoppa skrev:
Så detta skrivsätt skulle då istället gälla?
Ja, det ser bra ut.
Det viktigaste är att du förstår att och varför man kan skriva så.
Maddefoppa skrev:så för e blir det f? Eller dvs själva f i f(x+h) blir e? Alltså det kan ersättas? Förstår inte riktigt:(
Om är en primitiv funktion till så är
Använd detta för att skriva om täljaren.
Jag förstår inte riktigt:(
Vilken/vilka förstår du inte?
Skulle gärna vilja ha förklaring för bäda:) Vi har inte börjat med primtiva funktioner ännu det är nästa område. Men har svårt att förstå derivatans deffinition:)
Du får gärna förkkara:)
Vilken konstig ordning avsnitten på kurserna kommer i.
Ni förväntas kunna använda derivatabegreppet innan ni kommit fram till derivata i kursen och ni förväntas kunna förstå sambandet mellan integraler och primitiva funktioner innan ni kommit fram till det i kursen.
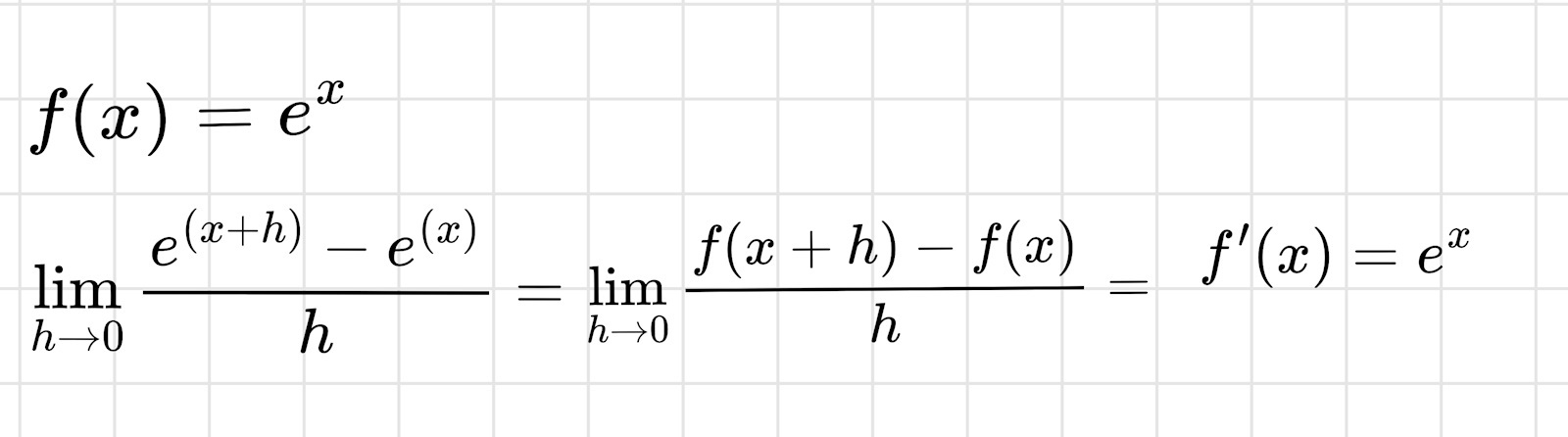
Vi tittar nu på E-uppgiften.
Jag antar nu att du kommer ihåg följande från dina gymnasiestudier:
Om är en primitiv funktion till så gäller det att .
Med hjälp av det så kan du skriva om gränsvärdet enligt följande:
= (enligt derivatans definition) =
(eftersom är en primitiv funktion till ) =
Maddefoppa skrev:[...]
Men har svårt att förstå derivatans deffinition:)
[...]
Läs det här avsnittet och fråga oss om allt du vill att vi förklarar närmare.
När man säger att h bådr kan vara posetivt & negativt. Hur påverkar det f’(x)? För en funktion f(x) = |x| delar man inte det i 2 fall eftersom den inte är derivarbar då x=0. Men hur kan man avgöra FÖRUTOM att studera grafen om en funktion är deriverbar eller inte?
För att en funktion ska vara deriverbar i en punkt så måste höger- och vänsterderivatan både existera och vara lika i den punkten.
Det gäller inte i origo för f(x) = |x|.
Där är nämligen vänsterderivatan lika med -1 och högerderivatan lika med 1.
Läs avsnittet "Funktioner utan derivata" på den här sidan.
Det här är min lösning hittills




Så detta skrivsätt skulle då istället gälla?