Bestämma ekvation till en tangent
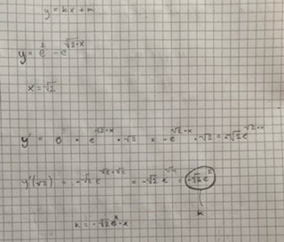
Hej jag har försökt att lösa denna uppgift men kommer bara fram till k-värdet (är uträkningen rätt hittils?). Vet inte hur jag ska fortsätta.
![]()
![]()
för om jag stopppar in roten ur 2 i den ursprungliga ekvationen får jag bara 0
Hej, ditt k-värde stämmer. Glöm inte att du redan fick tangeringspunkten angiven. y=kx+m där du har k men du har även fått (x,y) på köpet. detta eftersom tangeringspunkten ges av (x,f(x)). kommer du vidare?
så i detta fall : x = roten ur 2 och när jag stoppade in det så blev det 0 = y ?
såhär?

ja, precis. du ska alltså hitta vad ditt m-värde blir genom att lösa och detta som du konstaterade blir ju
Blev det rätt som jag gjorde ovan i uträkningen?
Det stämmer bra, vad blir alltså tangenten för kurvan?
2e^2 ?
är ju m-värdet för din tangent. Men k är inte =0, du beräkande ju k till att vara , alltså är tangentens ekvation y=...?
jaha - trodde du menade bara m-värdet.
Ekvationen blir väll

Ser korrekt ut, ja.
okej tack!!