Bestämma en avbildningsmatris i standardbasen
Hej! Jag behöver hjälp med denna fråga då jag fick ett svar som inte stämmer med facit och kan inte riktigt hitta felet!
Bifogar frågan och min lösning också.
Tack på förhand


Jag hade använt att
(1,0) = -2u - v
(0,1) = u + v
för att sedan ta fram
F(1,0) = -4u + v
F(0,1) = 2u - v
Dr. G skrev:Jag hade använt att
(1,0) = -2u - v
(0,1) = u + v
för att sedan ta fram
F(1,0) = -4u + v
F(0,1) = 2u - v
I så fall borde väl svaret vara ?
Men på facit står det såhär

I standardbasen så är
u = (-1,-1)
v = (1,2)
Sätt in och förenkla.
Dr. G skrev:I standardbasen så är
u = (-1,-1)
v = (1,2)
Sätt in och förenkla.
Fattar inte riktigt vad jag ska förenkla! Hur vet man att u och v är givna i standardbasen om de inte anger i frågan?
Ja, frågan är lite ofullständigt formulerad. Men sunt förnuft säger att u och v är givna i samma bas i vilken man vill ha svaret. Dessutom brukar alla vektorer avse standardbasen när ingen annan bas har angivits.
T.ex. betyder samma sak som och det är oftast vektorn som avses.
Om du alltså låter första kolonnen i din matris vara och den andra kolonnen vara blir det rätt.
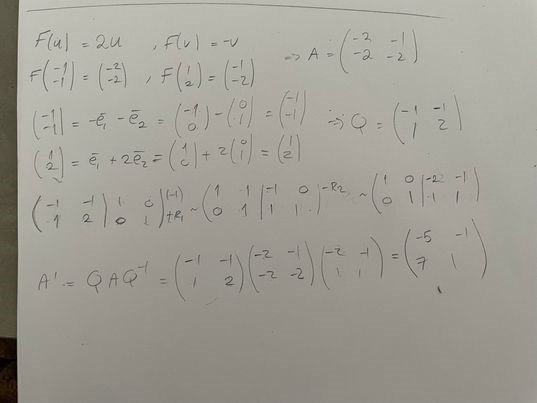
Jag tänkte också beskriva en annan metod som bygger på egenvärden och egenvektorer. Uppenbarligen är vektorerna egenvektorer till avbildningen. Och egenvärdena är
Matrisen för avbildningen i egenvärdesbasen är bara egenvärdena på diagonalen:
Transformationsmatrisens kolonner består av egenvektorerna (den nya basen uttryckt i den gamla):
En 2x2-matris är enkel att invertera och i ursprungsbasen är alltså avbildningsmatrisen:
D4NIEL skrev:Ja, frågan är lite ofullständigt formulerad. Men sunt förnuft säger att u och v är givna i samma bas i vilken man vill ha svaret. Dessutom brukar alla vektorer avse standardbasen när ingen annan bas har angivits.
T.ex. betyder samma sak som och det är oftast vektorn som avses.
Om du alltså låter första kolonnen i din matris vara och den andra kolonnen vara blir det rätt.
Jag tänkte också beskriva en annan metod som bygger på egenvärden och egenvektorer. Uppenbarligen är vektorerna egenvektorer till avbildningen. Och egenvärdena är
Matrisen för avbildningen i egenvärdesbasen är bara egenvärdena på diagonalen:
Transformationsmatrisens kolonner består av egenvektorerna (den nya basen uttryckt i den gamla):
En 2x2-matris är enkel att invertera och i ursprungsbasen är alltså avbildningsmatrisen:
Den andra lösningsmetoden verkar vara enklare, måste träna på den! en till liten fråga, hur kan man gå vidare efter att man har hittat att
Borde inte koordinaterna framför u och v motsvara avbildningsmatrisen? Hur kan man komma fram till ?
Tack så jättemycket för din hjälp!:)
Med och blir avbildningen av basvektorn
vilket är den första kolonnen. Nästa kolonn får du med avbildningen av den andra basvektorn dvs
D4NIEL skrev:Med och blir avbildningen av basvektorn
vilket är den första kolonnen. Nästa kolonn får du med avbildningen av den andra basvektorn dvs
Juste!! Nu förstår jag. Men om vi säger att jag vill istället hitta matrisen till avbildningen i dess bas, dvs inte i standard basen, hur kan jag gå från till den andra basen?
Transformationsmatrisen för ett basbyte mellan den "nya basen", dvs egenvärdesbasen, och den gamla basen får man om man sätter matrisens kolonner som de nya basvektorerna uttryckta i den gamla basen
Enligt någon sats jag hoppas ni lärt er kan man transformera en linjär avbildning till den nya basen enligt
Där den sista matrisen naturligtvis är matrisen med egenvärdena på diagonalen.