Bestämma en exponentialfunktion
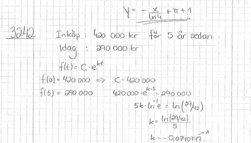
Värdet av en segelbåt minskar exponentiellt med tiden. Segelbåten köptes för 420000kr för fem år sedan och idag är den värd 290000kr. Bestäm en exponentialfunktion med basen e som beskriver segelbåtens värdeminskning.
Hur har du börjat och var kör du fast?
Dr. G skrev:Hur har du börjat och var kör du fast?
Alltså jag har försökt att börja men jag kommer inte så långt. Tänker iaf att C=420000
Och antar att funktionen måste se ut typ såhär f(t)=C*e^kt
Ja, precis.
Du vet även värdet på f(5), vilket ger k.
Dr. G skrev:Ja, precis.
Du vet även värdet på f(5), vilket ger k.
så då blir funktionen typ: f(5)=420000*e^k5=240000
vad är nästa steg?
heddsson skrev:Dr. G skrev:Ja, precis.
Du vet även värdet på f(5), vilket ger k.
så då blir funktionen typ: f(5)=420000*e^k5=240000
vad är nästa steg?
Dela med 420000, föreslår jag.
Laguna skrev:heddsson skrev:Dr. G skrev:Ja, precis.
Du vet även värdet på f(5), vilket ger k.
så då blir funktionen typ: f(5)=420000*e^k5=240000
vad är nästa steg?
Dela med 420000, föreslår jag.
Då får man e^(k5)=0,69
heddsson skrev:Laguna skrev:heddsson skrev:Dr. G skrev:Ja, precis.
Du vet även värdet på f(5), vilket ger k.
så då blir funktionen typ: f(5)=420000*e^k5=240000
vad är nästa steg?
Dela med 420000, föreslår jag.
Då får man e^(k5)=0,69
Kan du få fram k nu? (Med miniräknare.)
Laguna skrev:heddsson skrev:Laguna skrev:heddsson skrev:Dr. G skrev:Ja, precis.
Du vet även värdet på f(5), vilket ger k.
så då blir funktionen typ: f(5)=420000*e^k5=240000
vad är nästa steg?
Dela med 420000, föreslår jag.
Då får man e^(k5)=0,69
Kan du få fram k nu? (Med miniräknare.)
Vet inte hur man gör det med miniräknaren :( den här bilden är på facit men fattar inte hur de gör 
e^(5k) = 0,69
Vad händer om du logaritmerar?
Vad betyder ? Det är ett skrivsätt jag inte kan komma ihåg att jag någonsin har sett.
Smaragdalena skrev:Vad betyder ? Det är ett skrivsätt jag inte kan komma ihåg att jag någonsin har sett.
nej fattar inte helle det :O
Laguna skrev:e^(5k) = 0,69
Vad händer om du logaritmerar?
Jag vet inte riktigt, förstår ju att man kan logaritmera men varför får de -1
heddsson skrev:Laguna skrev:e^(5k) = 0,69
Vad händer om du logaritmerar?
Jag vet inte riktigt, förstår ju att man kan logaritmera men varför får de -1
Kan du logaritmera ?
Laguna skrev:heddsson skrev:Laguna skrev:e^(5k) = 0,69
Vad händer om du logaritmerar?
Jag vet inte riktigt, förstår ju att man kan logaritmera men varför får de -1
Kan du logaritmera ?
ja eller alltså de blir lättare om man har siffror, typ 2e^(3x) blir ju t.ex. y'=6e^(3x)
Vad blir när man logaritmerar det?
Smaragdalena skrev:Vad blir när man logaritmerar det?
de blir väl samma sak
heddsson skrev:Smaragdalena skrev:Vad blir när man logaritmerar det?
de blir väl samma sak
Nej, du tänker på derivera.
Smaragdalena skrev:Vad betyder ? Det är ett skrivsätt jag inte kan komma ihåg att jag någonsin har sett.
Tror att det du såg som - är = och att de menar att
ln e = 1
Dr. G skrev:Smaragdalena skrev:Vad betyder ? Det är ett skrivsätt jag inte kan komma ihåg att jag någonsin har sett.
Tror att det du såg som - är = och att de menar att
ln e = 1
Så verkar det vara. Näe jag zoomade in på mobilen såg jag det svaga nedre strecket - det syntes inte på datorn.