Bestämma en tangents ekvation
Kan någon hjälpa mig med denna uppgiften: Funktionen 𝑓(𝑥) är given. Bestäm ekvationen för tangenten till 𝑓 i den punkt där 𝑥 =−1. 
Den räta linje y = kx+m som tangerar grafen till f(x) vid x = -1 har lutningen k = f'(-1).
Du kan sedan bestämma värdet på m ipm att du känner till tangeringspunktens koordinater, som är (-1, f(-1)).
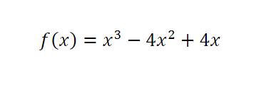
f(-1)=-13-4x(-1)2+4x(-1)= -9, y=-9
f`(x)=3x2-2x+4
f`(-1)=3(-1)2-2x(-1)+4=9, k=9
y=kx+m
-9=9x(-1)+m
m=0, y=9x+0 är detta svaret, har jag gjort rätt?
Nej tyvärr så har de båda kurvorna skärningspunkt i x=0 och det stämmer inte.
hur ska jag göra för att räkna ut det?
Derivera
Du slarvade lite men på det igen!
m=6, y=15x+6 är detta rätt nu?
Kör det på miniräknaren och kolla för det ska jag göra
möts i punkten x=6 och y=96 . Jag dubbelkollar igen
När jag kontrollerar med tabellerna på de olika graferna så tangerar de i punkten x=-1 så jag hade fel och du har gjort rätt!
omg, tack så mycket för hjälpen, jag uppskattar det verkligen =)