5 svar
140 visningar
sortedsofie behöver inte mer hjälp
sortedsofie 41
Postad: 2 jan 2022 16:44

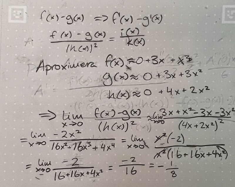
Bestämma gränsvärde då endast derivatorna är kända

Jag förstår inte vart jag ska börja med uträkningen. Kan inte hitta något i boken om det, det enda jag kan tänka på är H'Lopitals regel. Då både nämnaren och täljaren går mot 0, men är osäker på om det går vid detta fall. Hade ju isåfall blivit (3-3)/4^2=0, vilket inte stämmer enligt facit. 

henrikus 679
Postad: 2 jan 2022 16:48

L'Hôpitals regel är den enda möjligheten.

farfarMats Online 1293
Postad: 2 jan 2022 17:06

Du ska ha derivatan av h2 i nämnaren inte kvadraten på h´

Micimacko 4136
Postad: 3 jan 2022 01:28

Jag tycker det ser lättare ut att använda mclaurinutveckling

sortedsofie 41
Postad: 3 jan 2022 12:38
matsC skrev:

Du ska ha derivatan av h2 i nämnaren inte kvadraten på h´

oavsett blir det ju 0 i täljaren

sortedsofie 41
Postad: 3 jan 2022 12:49
Micimacko skrev:

Jag tycker det ser lättare ut att använda mclaurinutveckling

Tack! Det funkade

Svara
Close