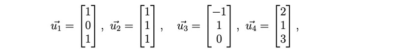
bestämma ifall linjär avbildning finns
uppgiften är


förstår inte alls formuleringen av dessa frågor eller hur jag ska gå till väga. tänker att om det ska finnas en linjär avbildning som både tar u1 till u2 och u3 till u4 borde väl u1 och u2 respektive u3 och u4 vara linjärt beroende vilket de inte är. detta betyder så att det inte finns en linjär avbildning L som uppfyller kraven.
på b uppgiften borde det väl vara samma sak, men jag tror att jag inte riktigt förstår frågeställningarna.
tack på förhand!
a)
Två linjärt oberoende vektorer avbildas på två nya vektorer. Bilden av en tredje linjärt oberoende vektor kan hamna var som helst utanför planet som spänns av de två givna bilderna. Det borde finnas oändligt många sådana avbildningar.
Tillägg: 25 nov 2021 19:41
Jo, precis.
Ansätt en allmän 3x3-matris. Använd de två sambanden. Varje rad i matrisen kommer att innehålla en fri parameter.
förstår inte riktigt hur du kommer fram till att det finns. kan en standardmatris för en sådan avbildning L vara då den både tar u1 till u2 och u3 till u4? förstår inte riktigt hur jag ska förklara
T.ex så får man från att bilden av u1 är u2 att tredje kolumnen i matrisen är (1, 1, 1)' minus första kolumnen.
okej tack! hur ska jag tänka på andra frågan ?
Då har vi 4 krav, så det går generellt inte att uppfylla, men de kan ju vara linjärt beroende.
Tillägg: 25 nov 2021 20:29
Det kan hjälpa att titta på u1 och u3.