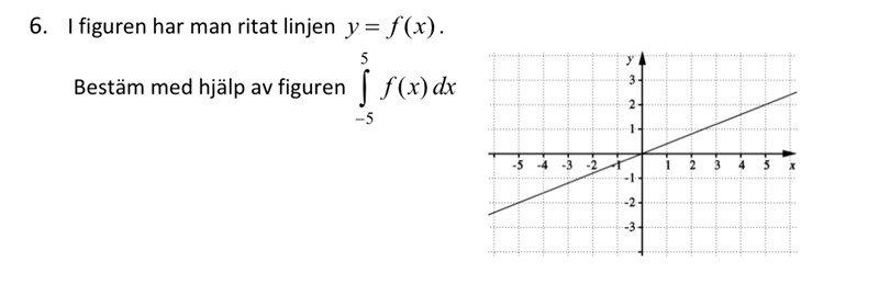
Bestämma integralen

Hallå !
Jag krånglar lite med den här uppgiften.
Jag tänket så här: jag kan se två trianglar i figuren, vars ytor representerar lösningen på uppgiften.
Så det blir på ena triangel : A= 5*2 / 2 = 5 a.e
Men för det andra triangeln är basen -5 om jag räknar det med minus ska arean bli -5 vilket förvirrar mig.
Jag tänkte oxå att integralen blir 0 om jag räknar 5-5=0. Men jag vet inte hur kan jag lösa den
Kan ni snälla berätta vad jag måste göra ?
Tack på förhand
Du tänker rätt med trianglarna. En area är aldrig negativ, men värdet av integralen mellan -5 och noll är lika med arean, men negativ.
Det är lite smått krångligt med sambandet mellan area och integral, men det som gäller är att ovanför x-axeln är arean lika med integralens värde, men under x-axeln är arean lika med absolutbeloppet av integralens värde. :)
Jag fattar inte vad du menar :(
intergralen = arena över x axeln - arena under x axeln. Dessa 2 areor är trianglar precis som Smutstvätt sa
ItzErre skrev:intergralen = arena över x axeln - arena under x axeln. Dessa 2 areor är trianglar precis som Smutstvätt sa
Ja det förstår jag. Eftersom arean kan aldrig vara negativ så antar jag att även under x-axeln är den lika med arean ovanför axeln A=5
=> 5-5= 0 dvs integralen mellan -5 och 5 är lika med noll eller hur?
Najlae skrev:ItzErre skrev:intergralen = arena över x axeln - arena under x axeln. Dessa 2 areor är trianglar precis som Smutstvätt sa
Ja det förstår jag. Eftersom arean kan aldrig vara negativ så antar jag att även under x-axeln är den lika med arean ovanför axeln A=5
Det stämmer, arean mellan -5 och noll är lika med 5 (areaenheter) och integralens värde är -5.
=> 5-5= 0 dvs integralen mellan -5 och 5 är lika med noll eller hur?
Helt rätt!
Smutstvätt skrev:Najlae skrev:ItzErre skrev:intergralen = arena över x axeln - arena under x axeln. Dessa 2 areor är trianglar precis som Smutstvätt sa
Ja det förstår jag. Eftersom arean kan aldrig vara negativ så antar jag att även under x-axeln är den lika med arean ovanför axeln A=5
Det stämmer, arean mellan -5 och noll är lika med 5 (areaenheter) och integralens värde är -5.
=> 5-5= 0 dvs integralen mellan -5 och 5 är lika med noll eller hur?
Helt rätt!
Tackar 🙏🏻😊
Varsågod! :)