6 svar
118 visningar
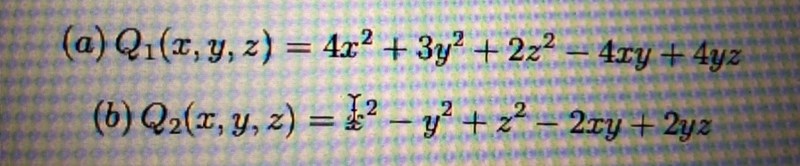
dsvdv 212
Postad: 10 okt 2022 11:46

Bestämma karaktären hos kvadratiska former

Jag ska bestämma karaktären för dessa kvadratiska former. Jag tänker först att man kan faktoriers uttrycket. Men lyckas inte göra det… hur gör jag?

Smaragdalena 78892 – Avstängd
Postad: 10 okt 2022 12:00

Visa hur du har försökt. Börja med 4x2 - 4xy. Vad är det som blir x2-4xy + några y2 när det kvadreras?

dsvdv 212
Postad: 10 okt 2022 19:47

jag kom fram till  2x-y2+2y2+2yz+z2

 

Hur bestämmer jag karaktären 

Smaragdalena 78892 – Avstängd
Postad: 10 okt 2022 20:17

Du kan skriva om den andra parentesen till en kvadrat, den också!

dsvdv 212
Postad: 10 okt 2022 20:45

2x-y2+2(y+z)2

 

men hur kan jag bestämma karaktären hur tänker man då?

Laguna Online 31938
Postad: 10 okt 2022 21:43

Vilka karaktärer finns det?

dsvdv 212
Postad: 10 okt 2022 22:03

är funktionen positivt definit ?

Svara
Close