Bestämma komplext tal så uttryck är reellt
Hej,
jag försöker lösa denna upg: "Bestäm alla komplexa tal sådana att är reellt.
Såhär har jag gjort:
z = a + bi
Eftersom att vi vill ha det komplexa talet reellt vill vi ej ha med något i, det vill säga b = 0.
z = a + 0*i = a
Men sen vet jag inte hur jag ska fortsätta, eller har jag ens börjat rätt?
Hej,
Du har missuppfattat frågan; det är inte som ska ha imaginärdel noll utan det är som ska ha imaginärdel noll.
säg att z=x+yi då blir
är reellt när
Ett komplext tal w är reellt om och endast om w = w*.
z + 1/z = z*+ 1/z*
(z - z*)(1 - 1/|z|2) = 0
Im(z) = 0 eller |z| = 1.
Hej,
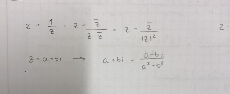
Uppgiften blir enklare att lösa om du har ett reellt tal i nämnaren istället för ett komplext; förläng därför med konjugatet för att få summan
Om (där jag antar att för att få icke-trivial lösning) så blir och summan
Här ser du direkt att har imaginärdel noll precis då ligger på enhetscirkeln i det komplexa talplanet; beräkningen visar också att summan i detta fall är lika med komplexa talet
Mohammad Abdalla skrev:säg att z=x+yi då blir
är reellt när
Ska inte (x+yi)(x-yi) = x^2 + y^2 ?
Albiki skrev:Hej,
Uppgiften blir enklare att lösa om du har ett reellt tal i nämnaren istället för ett komplext; förläng därför med konjugatet för att få summan
Om (där jag antar att för att få icke-trivial lösning) så blir och summan
Här ser du direkt att har imaginärdel noll precis då ligger på enhetscirkeln i det komplexa talplanet; beräkningen visar också att summan i detta fall är lika med komplexa talet
Började såhär, men förstår inte hur du bryter ut efter:

Behåll |z| och dela bråket i 2 delar, sen bryter du ut a från allt som innehåller a, och likadant för b.
bubblan234 skrev:Mohammad Abdalla skrev:säg att z=x+yi då blir
är reellt när
Ska inte (x+yi)(x-yi) = x^2 + y^2 ?
Jo, det var slarv av mig där.