Bestämma konstant så att tangent går genom origo
Uppgiften lyder:
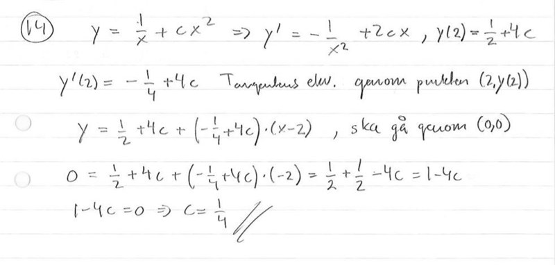
Bestäm den positiva konstanten c i funktionen så att tangenten till kurvan då x = 2 går genom origo.
Så här ser facit ut:

Jag förstår första och andra raden men sen fattar jag ingenting? Varför adderas ekvationerna och var kommer (x-2) ifrån?
De har använt enpunktsformeln och skrivit om den som .
Som känd punkt har de använt .
Det de gör är att de försöker uttrycka en linjär ekvation utgående från värdena i punkten x=2.
Vår tilltänkta tangentfunktion är en linjär ekvation som normalt uttrycks som y(x)= k*x+m.
Om vi skapar oss den här funktionen istället:
z(x)= k*(x-2)+y(2)
vad kan vi då säga om denna?
Den kan skrivas om som k*(x-2)+y(2) = k*x-k*2+y(2)= k*x+(y(2)-k*2) vilket är en linjär funktion, där k är k-värdet och (y(2)-k*2) är m-värdet.
z(2)= k*(2-2)+y(2)= k*0+y(2)= y(2) så den har samma värde som var tilltänkta tangent-funktion.
z'(2)= k vilket var samma k-värde som vår tilltänkta tangent-funktion.
z(x) har alltså alla de egenskaper som vi sökte efter i vår tangent-funktion, så den beskriver tangenten.
Det de gör i facit är att skapa en lokal variant av den tilltänkta tangentfunktionen, centrerad kring punkten som de faktiskt känner till.
Enpunktsformeln ger att en rät linje med lutningen k, som går genom punkten , har ekvationen, eller . :)
Men hur tänkte du själv? Man måste ju inte göra exakt så. Jag som aldrig lärt mig enpunktsformeln tänker istället så här:
Tangenten går genom origo och därmed kan den skrivas på formeln y = k*x
Sätt helt enkelt in värdena för tangeringspunkten i y = k*x
y = 1/2 + 4c
x = 2
k = y'(2) = -1/4 + 4c
Du får en ekvation med endast en obekant, c. Bara att räkna...