Bestämma konstant term, binomialsatsen
Hej,
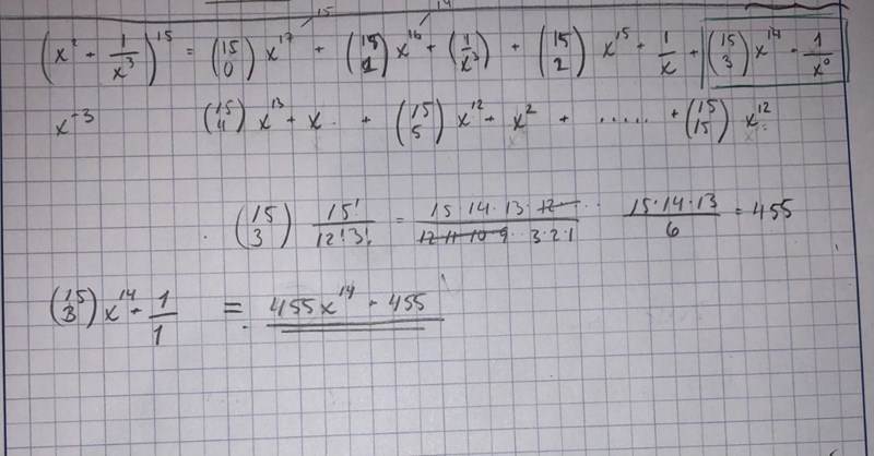
jag ska bestämma den konstanta termen i , och gjorde såhär:

Förstod inledningsvis inte riktigt hur jag ska bestämma den term utan x, alla innehåller väl det? Använde därför den som hade minst x, dvs den jag inringat med grönt. Detta blev dock fel - hur ska jag tänka?
(x2)15 är x30, så nånting är fel i din uppställning.
Term nummer k har (x2)k gånger (x-3)15-k. Det kan bli en konstant.
Hej,
Binomialsatsen låter dig att skriva om ditt uttryck på följande vis.
Nu kan du slå ihop dina x-termer.
Nu gäller det att exponenten ska vara lika med 0 eftersom du söker en konstant.
Du ska hitta den konstant som inte är en faktor av någon variabel. När händer det? Jo, när , detta är sant då .
Hej,
Binomialsatsen ger följande:
Den konstanta termen är lika med den binomialkoefficient som hör till termen vilket du ser inträffar då varför den sökta konstanten är
Det var bara jag som ledde frågeställaren vidare utan att ge själva svaret. Jag är bäst.