Bestämma lösning till ekvationssystem
Hej
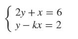
Jag har problem med en uppgift, och enligt facit ska svaret vara -men, jag förstår inte hur jag kommer fram till det.

c) har ekvationssystemet en lösning i 1:a kvadranten (x,y>0)?
Det jag har kommit fram till är att ekvationen saknar lösning när k=-0,5 då respektive linjer aldrig korsar varann. Men hur får jag fram minsta möjliga lösning?
Jag förstår inte riktigt uppgiften.
c) verkar vara en ja-eller-nej fråga så hur kan den ha svaret ?
Om frågan istället är: "Vilket är det minsta värdet för så att det finns en lösning i första kvadranten?"
så blir det mer begripligt.
Om vi löser detta ekvationssystem så får vi följande:
I första kvadranten måste och därför gäller att:
Detta är viktigt eftersom vi vill kunna multiplicera med utan att byta olikhetstecken.
I första kvadranten måste även och därför gäller att:
Om uppfyller det andra kravet uppfyller det också det första.
Därför är det minsta där ekvationssystemet har en lösning i första kvadranten:
jarenfoa skrev:Jag förstår inte riktigt uppgiften.
c) verkar vara en ja-eller-nej fråga så hur kan den ha svaret ?
Om frågan istället är: "Vilket är det minsta värdet för så att det finns en lösning i första kvadranten?"
så blir det mer begripligt.Om vi löser detta ekvationssystem så får vi följande:
I första kvadranten måste och därför gäller att:
Detta är viktigt eftersom vi vill kunna multiplicera med utan att byta olikhetstecken.
I första kvadranten måste även och därför gäller att:
Om uppfyller det andra kravet uppfyller det också det första.
Därför är det minsta där ekvationssystemet har en lösning i första kvadranten:
Tusen tack!